[www.rhodium.ws] [] [Chemistry Archive]
 
 

Samarium Diiodide Reduction of Nitroalkanes to Hydroxylamines or Amines

Tetrahedron Letters 32(14) 1699-1702 (1991)

HTML by Rhodium

The reaction of SmI2 with nitroarenes gives the corresponding anilines1. However, to our knowledge there are no literature precedents for the reduction of alkyl nitro compounds to either alkyl hydroxylamines or alkyl amines by SmI2. During the course of our studies using SmI2 as a reducing agent2, we found that in the presence of MeOH as a proton source, primary, secondary, and tertiary alkyl nitro compounds were reduced by SmI2 to either hydroxylamines or amines depending upon reaction conditions.

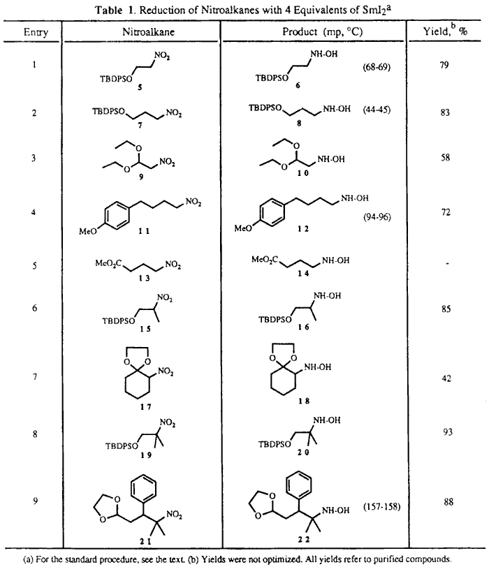
Table 1.
Reduction of Nitroalkanes
With 4 Equivalents SmI2

Table I shows that reductions to the hydroxylamines proceeded well with either primary, secondary, or tertiary nitroalkanes. In general, reduction of the nitro group with 4 molar equivalents of SmI2 in THF/MeOH (2:1) proceeded smoothly in less than five minutes and simple workup of the reaction mixture alIowed isolation of the corresponding hydroxylamines in good yields. The TBDPS group was well tolerated (entries 1, 2, 6, and 8). Yields appeared Iower for substrates 93 and 174 containing an acetal or a ketal functionality at the -position (entries 3 and 7). However, the alkyl nitro compound 215 containing an acetal at the -position gave the corresponding hydroxylamine in 88% yield (entry 9). In the case of the nitro ester 13, the expected hydroxylamine was not formed, and only a complex mixture was obtained (entry 5).

Experimental

A typical procedure for the SmI2 reductions of Table 1 follows. To a stirred solution of freshly prepared6 SmI2 (4.0 mmol) in THF (30 mL) was rapidly added a solution of the nitro compound 5 (1.0 mmol) in a 2:1 mixture of THF/MeOH (6 mL). The reaction mixture was stirred at RT for 3 minutes, poured into a 10% solution of Na2S2O3 (30 mL) and extracted with EtOAc several times. The residue was chromatographed over silica gel (EtOAc) to give 6 in 79% yield.7,8

When the reductions were performed with 6 molar equivalents of SmI2 at RT for several hours (see Table 2), the nitroalkanes were cleanly transformed into the corresponding primary amines, identified in this study as the corresponding 4-phenylbenzamides. Thus, to a stirred solution of SmI2 (4.2 mmol) in THF (30 mL) was added a solution of nitroalkane 15 (0.7 mmol) in a 2:1 mixture of THF/MeOH (6 mL). The reaction mixture was stirred for 8 h to give after workup as above the crude amine 29. This was dissolved in CH2Cl2 (15 mL) and treated with Et3N (0.5 mL), then with 4-phenylbenzoyl chloride (2.3 mmol), and stirred at RT overnight. The reaction mixture was diluted with EtOAc and H2O, the organic phase separated, and the aqueous phase extracted with EtOAc several times. The residue was chromatographed over silica gel (hexane/EtOAc, 85:15) to give 30 in 79% yield.9

Table 2.
Reduction of Nitroalkanes
With 6 Equivalents SmI2

When 3-nitro acetal 9 or 3-nitro ketal 17 were reacted with 6 equivalents of SmI2 under the above reaction conditions, less than 20% of a complex mixture of unidentified products was isolated. Rapid decomposition of the primary reduction products could be observed under the reaction conditions.

Thus, we have demonstrated that in the presence of MeOH as a proton source, using 4 or 6 molar equivalents of SmI2 and by controlling the reaction time, a variety of nitroalkanes are cleanly reduced to either hydroxylamines or amines in moderate to good yields. This mild method offers exceptional simplicity and convenience in workup and compares very favorably to alternative procedures for laboratory syntheses of alkyl hydroxylamines or alkyl amines10.

References and Notes

  1.  
    1. Souppe, J.; Danon, L; Namy, J.L.; Kagan, H.B.J. Organometal. Chem. 1983, 250, 227.
    2. Zhang, Y.; Lin, R. Synth. Commun. 1987, 17, 329.
  2. For further information on the electron transfer chemistry of SmI2, see:
    1. Kagan, H.B. New. J. Chem. 1990, 14, 453.
    2. Kagan, H.B.; Namy, J.L. Tetrahedron 1986, 42, 6573.
    3. Inanaga, J. J. Synth. Org. Chem. Jpn. 1989, 47, 200.
    4. Molander, G.A.; Etter, J.B.; Zinke, P.W. J. Am. Chem. Soc. 1987, 109, 453.
  3. Rene, L.; Royer, R. Synthesis 1981, 878.
  4. This compound was prepared from 2-nitrocyclohexanone and ethylene glycol with a catalytic amount of PTSA in refluxing benzene; Cf. Mussini, P.; Orsini, F.; Pelizzoni, F. Synth. Commun. 1975, 5, 283.
  5. The aldehyde nitro compound precursor of 21 was prepared from 2-nitropropane and E-cinnamaldehyde in ethanol with a catalytic amount of KOMe; Cf. Warner, D.T.; Moe, O.A. J. Am. Chem. Soc. 1952, 74, 1064.
  6. Our reagent was prepared by modification of Kagan's procedure: Girard, P.; Namy, J.L.; Kagan, H.B. J. Am. Chem. Soc. 1980, 102, 2693. To a mixture of samarium powder (5.32 mmol) and 1,2-diiodoethane (4.0 mmol) was added THF (10 mL) at room temperature and under argon. A mild exothermic reaction proceeded rapidly. The reaction mixture was stirred at room temperature for 10 minutes and then more THF (20 mL) was added. After the reaction mixture was stirred for 1 h, an intense blue-green solution of SmI2 was obtained. A solution of the substrate in THF/MeOH (2:1) was added to the above solution.
  7. All products gave IR, 1H-NMR, 13C-NMR, and MS or C,H,N elemental analyses in agreement with the assigned structures.
  8. Compound 6 analytical data:
    mp 68-69°C; MS: m/e 298 (M+-17,1); IR (CHCl3): 3580, 3260, 2920, 1470, 1425, 1110 cm-1;
    1H-NMR: (300 MHz, CDCl3) 7.70 (4H, m), 7.43 (6H, m), 6.32 (2H, br), 3.85 (2H, t, J=5.1 Hz), 3.08 (2H, t, J=5.1 Hz), 1.09 (9H, s); 13C-NMR: (300 MHz, CDCl3) 135.53, 133.38, 129.72, 127.73, 60.02, 55.61, 26.84, 19.20.
  9. All amides gave satisfactory C,H,N elemental analyses.
  10. For some recent papers dealing with the preparation of hydroxylamines from nitroalkanes, see:
    1. Bartra, M.; Romea, P.; Urpi, F.; Vilarrasa, J. Tetrahedron 1990, 46, 587.
    2. Zschiesche, R.; Reissig, H-U. Tetrahedron Lett. 1988, 29, 1685. For more general reviews on nitroalkane reductions, see:
    3. March, J. Advanced Organic Chemistry. Reactions, Mechanisms, and Structure, 3rd Ed, John Wiley and Sons. 1985, pp. 1103-1104.
    4. Larock, R.C. Comprehensive Organic Transformations. A Guide to Functional Group Preparations. VCH Publishers, Inc. New York, NY. 1989, pp. 411-412, and references cited therein.