Organic Syntheses, Coll. Vol. 4, p.573 (1963); Vol. 35, p.74 (1955).
o-METHOXYPHENYLACETONE
[2-Propanone, 1-(o-methoxyphenyl)-]
Submitted by R. V. Heinzelman1
Checked by M. Tishler and H. L. Slates.
1. Procedure
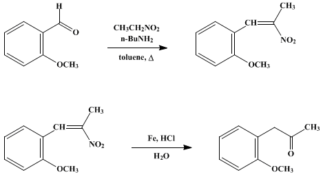
A. 1-(o-Methoxyphenyl)-2-nitro-1-propene. A 1-l. round-bottomed flask is fitted with an electric heating mantle, a modified Dean and Stark water separator (Note 1), and a reflux condenser. To the flask are added in this order 200 ml. of reagent-grade toluene, 136 g. (1.0 mole) of o-methoxybenzaldehyde (Note 2), 90 g. (1.1 moles) of commercial nitroethane (Note 3), and 20 ml. of n-butylamine (Note 4). The solution is heated to produce a rapid reflux until the separation of water ceases (Note 5). The toluene solution is used directly in the next step (Note 6).
B. o-Methoxyphenylacetone. A 3-l. three-necked round-bottomed flask is equipped with an electric heating mantle, two reflux condensers, a dropping funnel, and a high-speed whip stirrer (Note 7). The toluene solution from Part A is placed in the flask, and 500 ml. of water, 200 g. of powdered iron (Note 8), and 4 g. of ferric chloride are added. With vigorous agitation the suspension is heated to about 75°, and 360 ml. of concentrated hydrochloric acid is added over a 2-hour period (Note 9); heating and stirring are continued for an additional 30 minutes.
The suspension is transferred to a 5-l. three-necked round-bottomed flask and subjected to steam distillation until 7–10 l. are collected (Note 10). The toluene layer is removed, and the aqueous layer is extracted with 1 l. of fresh toluene. The combined toluene layers are agitated for 30 minutes with a solution of 26 g. of sodium bisulfite in 500 ml. of water (Note 11). The toluene layer is washed with water, and the solvent is removed at water-pump pressure on the steam bath. The resulting orange liquid weighs 107–120 g.. (65–73%); nD20 1.5250–1.5270, and is sufficiently pure for most uses. It is purified by distillation through a 12-in. Vigreux column, and the fraction boiling at 128–130°/14 mm. is collected. The yield is 102–117 g. (63–71%, based on the methoxybenzaldehyde used), nD20 1.5250–1.5260 (Note 12), (Note 13).
2. Notes
1. The model manufactured by the Corning Glass Works, Corning, New York, and listed as No. 3622 was used. See also Org. Syntheses Coll. Vol. 3, 382 (1955).
2. o-Methoxybenzaldehyde is available from Eastman Kodak Company, Rochester, New York, and from the Matheson Company, East Rutherford, New Jersey. It may also be prepared according to Baeyer and Villiger.2
3. The nitroethane was obtained from Commercial Solvents Corporation, Terre Haute, Indiana, as a 90% pure product. The amount used is a 10% excess based on its nitroethane content. The chief contaminant is 2-nitropropane, which does not interfere in the reaction.
4. It is desirable to swirl the flask after each addition to prevent the formation of layers.
5. Half of the water is collected in about an hour, and the theoretical amount (18 ml.) in about 5 hours. Water removal usually ceases at about 105% of theory. Insufficient reflux rate causes incomplete water removal or an unduly prolonged reaction time.
6. The pure nitroölefin can be obtained by removing the toluene on the steam bath at water-pump pressure and recrystallizing the resulting oil from ethanol or petroleum ether. With petroleum ether, particularly, the volume should be great enough that the product remains in solution until the solution temperature is sufficiently low to prevent oiling out. Addition of seed crystals will encourage crystallization. Alternatively, the yellow oil may be distilled at reduced pressure. The nitroölefin boils at 135–138°/1 mm. and crystallizes in the receiver when seeded. The yield is 150–175 g. (80–90%). The yellow crystals melt at 51–52° when pure. Although no difficulty has been experienced with this compound, the usual safety precautions should be observed when distilling an unsaturated nitro compound. The material is somewhat lachrymatory and irritates the skin.
7. Rapid agitation is necessary to keep the iron in suspension and to mix the two liquid layers.
8. A 40-mesh grade was used, but material up to 100 mesh has been used successfully. However, with the finer material the reaction is somewhat more vigorous.
9. The reaction mixture should reflux vigorously. When the addition time is increased to 6 hours, the yield is not appreciably changed. The iron-acid ratio appears to be important; however, doubling the amounts of both ingredients produces no change in yield.
10. The 5-l. flask is either heated with an electric mantle or placed on a steam bath to prevent condensation of steam and increase in volume of the suspension. The steam distillation must be continued beyond the point at which the distillate becomes clear.
11. The bisulfite treatment removes any aldehydic material present at this point. Since this ketone is quite inert to sodium bisulfite, the yield is not lowered by this procedure.
12. The pure ketone has nD20 1.5240 and a boiling point of 128–130° /14 mm., 150° /30 mm. Insufficient removal of o-methoxybenzaldehyde will cause the refractive index to be high to the extent of about 0.0003 for each per cent present. The use of distilled nitroölefin eliminates the aldehyde, but this advantage is offset by the distillation hazard and slightly lower over-all yields.
13. This procedure is quite general for other aromatic aldehydes. An excess of bisulfite must be avoided in the washing step, since many phenyl-substituted acetones react appreciably with it.
3. Discussion
The present procedure is that described by the submitter.3 It is an improved modification of that described by Hoover and Hass4 for the corresponding para isomer. o-Methoxyphenylacetone also has been prepared from the glycidic ester,5 by the hydrogenation of o-methoxybenzalacetone,6 by treating o-methoxyphenylacetyl chloride with methylzinc iodide,7 by the hydrolysis of o-methoxy-α-acetylbenzyl cyanide,8 by the oxidation of 1-(o-methoxyphenyl) propene with lead oxide in acetic acid,9 and by the condensation of o-methoxybenzoyl chloride with diethyl ethoxymagnesiummalonate, followed by hydrolysis of the substituted malonic ester.10 The methods of synthesis of o-methoxyphenylacetone have been studied.11

References and Notes
  1. The Upjohn Company, Kalamazoo, Michigan.
  2. Baeyer and Villiger, Ber., 35, 3023 (1902); Spath, Monatsh., 34, 1995 (1917).
  3. Heinzelman, J. Am. Chem. Soc., 75, 921 (1953); U. S. pats. 2,557,051 (1951) and 2,601,282 (1952).
  4. Hoover and Hass, J. Org. Chem., 12, 501 (1947).
  5. Wolf, Ger. pat. 752,328 (1950) [C. A., 45, 1626 (1951).]
  6. Chen and Barthel, J. Am. Chem. Soc., 75, 4287 (1953).
  7. Imai and Abe (to Sumitomo Chemical Industries Co.), Jap. pat. 4572 (1952) [C. A., 48, 8261 (1954)].
  8. Horii, Satoda, and Inoi (to Nippon Drug Co.), Jap. pat. 7166 (1956) [C. A., 52, 9210 (1958)].
  9. Tanaka and Seki, Yakugaku Zasshi, 77, 310 (1957) [C. A., 51, 11278 (1957)].
  10. Petropoulos and Tarbell, J. Am. Chem. Soc., 74, 1249 (1952).
  11. Horii, Tsuji, and Inoi, Yakugaku Zasshi, 77, 252 (1957) [C. A., 51, 8671 (1957)].

Appendix
Chemical Abstracts Nomenclature (Collective Index Number);
(Registry Number)

petroleum ether

ethanol (64-17-5)

hydrochloric acid (7647-01-0)

acetic acid (64-19-7)

iron (7439-89-6)

lead oxide

sodium bisulfite (7631-90-5)

toluene (108-88-3)

ferric chloride (7705-08-0)

n-butylamine (109-73-9)

methylzinc iodide

nitroethane (79-24-3)

methoxybenzaldehyde,
o-methoxybenzaldehyde (135-02-4)

2-nitropropane (79-46-9)

diethyl ethoxymagnesiummalonate

o-Methoxyphenylacetone,
2-Propanone, 1-(o-methoxyphenyl)- (5211-62-1)

o-methoxybenzalacetone

o-methoxyphenylacetyl chloride

o-methoxy-α-acetylbenzyl cyanide

1-(o-methoxyphenyl) propene

o-methoxybenzoyl chloride (21615-34-9)

1-(o-Methoxyphenyl)-2-nitro-1-propene (6306-34-9)