|
|
The synthesis of sildenafil citrate was first reported in the
Bioorganic & Medicinal Chemistry Letters, Vol 6, pp. 1819, 1824, 1996.
The reaction scheme is reproduced below. Sildenafil was reported in this journal
as "a potent and selective inhibitor of type 5 PDE with utility for the treatment
of male erectile dysfunction".
|
|
 |
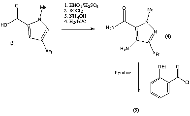
The first step of the synthesis is the reaction of a diketoester (1)
and hydrazine to give the pyrazole ring. The regioselective N-methylation of the
pyrazole and hydrolysis gives a carboxylic acid (3). Compound (3) is then reacted
with HNO3 and H2SO4 to give a nitrated product.
This is then followed by a carboxamide formation and the reduction of the nitro group.
The compound (4) is then acylated under basic conditions and this produces the
pyrazolopyrimidinone (6). (6) is then chlorosulphonylated selectively on the 5'-position
of the phenyl ring. This can then couple with an amine to give sildenafil (7).
The yield of each step is given on the reaction scheme.
|
This is the original synthesis which was reported in the literature when the molecule was first
synthesised. A variant of the synthesis was published but the changes it involved
only consisted in the change of a few reactants, and no major changes were reported. This synthesis
appeared in the January 1999 issue of Chemistry in Britain. This journal only reported the
original discovery synthesis and said that the synthesis used commercially had not been published.

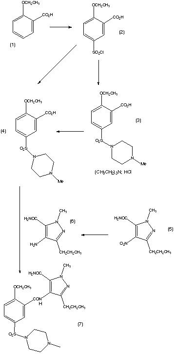
The drug is commercially manufactured by an alternative route. The
reaction scheme is described in the patent which was published on 17
decembre 1997. However, the synthesis used in the commercial
manufacture could be different to this. The patent was filed by the
Pfizer Research and Development Company. The scheme is reproduced
below.

The synthesis was described in a lot of detail, including the solvents that were the best to use,
however, these details have not been reproduced here. These and further details about the synthesis
can be found on the original
patent document.
The reaction pathway is explained in more detail below.
Compound 2 can be prepared by the chlorosulphonation of 2-ethoxybenzoic acid (1). The conversion of
compound 2 to compound 4 is achieved by N-sulphonation of 1-methylpiperazine and may be conducted
in a one or two step procedure. Coupling of compound 4 with compound 6 can be achieved by any of
the known amide bond-forming reactions. The aminopyrazole (6) is obtainable by the conventional
reduction of the corresponding nitropyrazole (5). The resulting solution of compound 6 may be used
directly after filtration in the coupling reaction with compound 4.
The cyclisation of compound 7 to give sildenafil has been achieved in yields up to 95%. Thus the overall yield
of sildenafil based on compound 1 as a starting material, depending on whether the one or two step
sulphonylation procedure is used can be as high as 51.7% or 47.8% respectively. This compares
favourably with the first synthesis in which the overall yield is 27.6%.
The cyclisation of compound 7 to sildenafil can be conducted under neutral or acidic conditions. Under
neutral conditions, compound 7 is heated, optionally in the presence of a solvent and/or optionally
in the presence of a dehydrating agent and/or mechanical water removal system. Under acidic conditions,
the reaction is carried out with a prolic acid or Lewis acid optionally in the presence of a solvent.
The reagents employed in the reactions can vary, but the following are among the ones recommended by the submitters
of the patent:
The first step is the chlorosulphonylation of 2-ethoxybenzoic acid.
This can be achieved by reacting 1 equivalent mole of thionyl chloride
with 4 equivalent mole of chlorosulphonic acid. Addition of
1-methylpiperazine to an aqueous suspension of compound 2 is a suitable
reaction to obtain compound 4 in one step. The carboxylic function of
compound 4 can be activated using a 5% excess of
N,N'-carbonyldiimidazole in ethyl acetate. This intermediate can then
be reacted with imidazolide and compound 6. Compound 6 is obtainable by
reduction of the corresponding nitropyrazole 5 for example by using
palladium catalysed hydrogenation in ethyl acetate. Compound 7 is then
cyclised to complete the reaction scheme and give sildenafil.
Information about the synthesis used to manufatcure Viagra was not available, and the two presented above
are only the ones which were published. It is not surprising that the commercial manufacture of the drug
is by a pathway that is not published.
[top]
|
|
|