News:

Registration doesn't require a real email.
Monero Donation Address: 897ESh4QoJgEytJueBPULziMDfNMToXkGMrvtUCJRo2NQRv2CXACHnmEzeMTkwQhnfcZsAc3ctXp6GsedhMfBv983rn5i84

Main Menu

Cocaine analog

Started by Rhodium, October 12, 2001, 12:54:00 PM

Previous topic - Next topic

0 Members and 1 Guest are viewing this topic.


foxy2

Why do you hydrolyze the ester in the first step only to re-esterify it in the second step? 
Is something missing here?



Do Your Part To Win The War

hypo

to get rid of the PhCOO- ?

IudexK2

Wow!  ;D

I know SWIM who would bee willing to try this and post results if someone could post a practical procedure for this synth...

IudexK2

Wouldn't this bee easier to make starting from tropane?

Rhodium

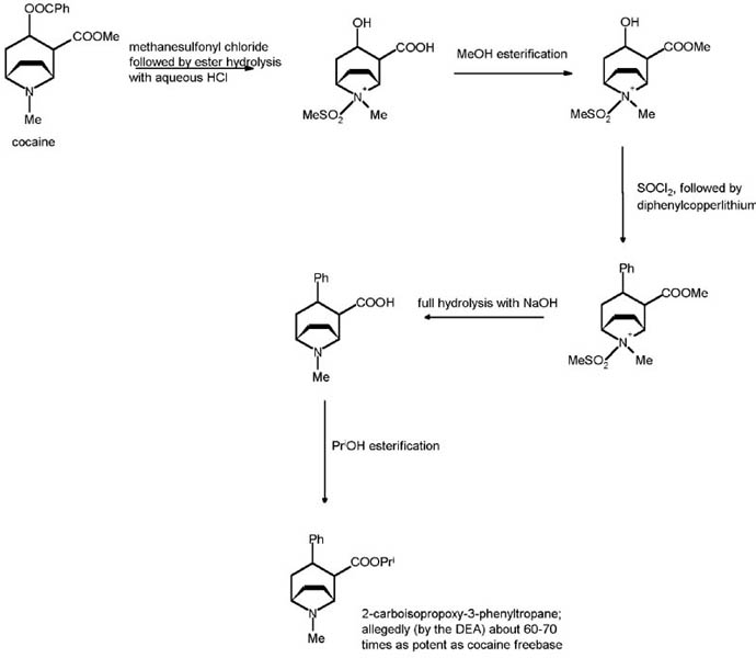
Iudexk: If you were starting with tropane, you would have to add the carboxymethyl group, add methylsulfonyl chloride and reduce the ketone to the alcohol to get the second product in the picture series. It would also consist of eight stereoisomers if not resolved. If you start with cocaine, the stereochemistry is already in place, which for some people would outweigh the cost of cocaine compared to tropinone.

Starting all the way from scratch (from acetonedicarboxylic acid/succindialdehyde/methylamine), there are shortcuts to prevent too much of the undesired isomers, but that is also a long route.

IudexK2

hmmmmm k.

Surely syntheses like this have the potential to turn the world on its head? Why does no-one seem to do them?

Rhodium

Because processing and trading "normal" cocaine is a no-brainer, which suits the people involved in that business just fine.

Likewise when it comes to synthetic opiates - very little on the market is fentanyls (even if it would be 1000x more profitable), it is mostly just plain ol' heroin.

Gen_Washington

Nonetheless, Rhodium, simple powder pushers do have ambitions.  Lets contimue this brain teaser, that may someday might wind up up the chain of command to a person wanting to knock off their dealer (the one in S America, he's the first in N America lets say) and instantly make 30x more money, by starting with simple questions:

1) What equipment, and how much would it cost to buy/make this equipment?

2) Lets arbtrarily pick 120 grams.  Assuming all equipment is in place, how much would those chems cost with all proper permits, etc.?  (FUUUCK!! 30 X 120 = 3,600 grams of coke 8)  8)  8) )