The Vespiary

The Hive => Chemicals & Equipment => Topic started by: Teon on December 06, 2003, 11:12:00 AM

Title: Tryptophan from Turkey
Post by: Teon on December 06, 2003, 11:12:00 AM
Quite a while back I came across the little article on Rodium about l-trpytophan from milk. I haven't really been able to get it out of my head.

Then turkey came came around and the wheels started turning again.

Anyone ever thing about using turkey as a starting point for tryptophan to make tyrptamine? Honestly, I don't know about tryptophan content by wieght in milk over turkey, that is, which has higher concentrations. And certainly milk would probably be much more astheticaly pleasing (as opposed to turkey puree) but still, just one of those ideas that comes to you when you're not paying attention.

I've poked around but haven't really found anyhting relating to this (I think there might be a good reason for that) so figured I'd toss it out up here on the Hive.

I only hope that this won't bring on the same cranky lambasting from other members that has caused me to have such a non-existant presence here.
Title: possibly good
Post by: n00dle on December 06, 2003, 05:45:00 PM
It would only be worthy if the tryptophan was free in the turkey so it was easier to remove, from milk, i believe the tryptophan is stuck in casein, a massive glycoprotein thing, and requires a small bit of annoying chemistry to remove it. someone correct me if i'm wrong..
Title: Where's your ethic?
Post by: Rhodium on December 06, 2003, 06:37:00 PM
But... *hello* ...you cannot kill animals to make drugs out of their bodies!
Title: I wonder how you want to get the 10 or so...
Post by: Osmium on December 07, 2003, 05:45:00 AM
I wonder how you want to get the 10 or so grams (guessing here) of tryptophan out of that frigging bird? This sounds rather difficult, don't you think so?

Title: HPLC on a Turkey!
Post by: Aurelius on December 07, 2003, 03:49:00 PM
C'mon, Chromatography can solve anything.  little bit o'turkey, solvent and some stationary phase (and, I theenk I need a beeger column).

Title: Hahahaha
Post by: amine on December 07, 2003, 04:49:00 PM
Title: Peptide bonds
Post by: safrolicious on December 17, 2003, 02:12:00 PM
Tryptophan in milk _and_ turkey is incorporated into proteins. It is done so via a peptide bond which is an extremely difficult chemical bond to break. Chemically (as aposed to biochemically) you can break this bond with 1M HCl, heat and time. To do so on most sources of protein will result in the ugliest gewp you have ever seen. Then you must seperate tryptophan from all the other amino acids -- hard hard work. C18 column and rpHPLC minimum.

I don't know too much about the tryptamine stuff but is tryptophan hard to purchase? I have bottles of the stuff all over my (government owned) lab. - thats not an offer BTW.

Anyway if you must have tryptophan from a dead meat source, try cutting off your arm and breaking that down with acid.  ;D

Title: I know someone who did that!!!
Post by: sYnThOmAtIc on December 17, 2003, 09:16:00 PM
Or at least they claimed they did anyway. He claimed to have found a site where they list all the amino acids and their concentration and used that to determine how to extract it...

He told me he used stuff like chloroform column chromatograpy and acid and base digestons of the protein puree to destroy and remove certain other chemicals through ph solubility rules plus some were jsut completely broken by some of the steps. Anyways he just looked up the properties and used them to figure it out. And he was a fool so I say anybody could do  it if they have the time to research what all needs be done. Though that is if he wasn't lying... Compton did have a tendency to do that alot but he did come through on a lot of stuff so I'm pretty confident that it was true.  Claimed he got 150g of trypophan from a 25lb turkey and a weeks worth of work synting chemicals, research, and the process.

But why do the milk or turkey when you can buy pure l-trpytophan from chemical supplies for a prety resonable price? Or extract it from pills.


Oh yea he did say he used a 1L cylindrical sep funnel as a column. I forget what all he said he used for packing but I do remember that he had no solids in the solvent by the time he ran the colmn so you must digest hte puree before it can be run to free the compounds from the cellular matrix.? And he said it was a big FU&KINg mess and would never do it again.

Title: Fucking bulshitter
Post by: sYnThOmAtIc on February 05, 2004, 07:11:00 PM
After a quick search on google I see that there is only 1.4 grams of tryptophan per lb of turkey meat. That means that there is only 28 grams of tryptophan in the whole turkey. I guess he may have just had an incredibly large amount of impurities!!!

You can get 60grams of tryptophan from pills for 85 bucks. There may be other pills that are cheaper....?
Title: CAS Amino Acids
Post by: Flippie on February 07, 2004, 04:53:00 AM
You can always buy casein hydrolysate aka CAS Amino Acids (Difco). Not that I have any experience with extracting Tryptophan from this mixture but it seems easier than from turkey meat. CAS Amino Acids are supplemented to some growth media in microbiology.

Title: easier to get synthetic tryptophan
Post by: gsus on February 12, 2004, 03:17:00 AM
i've looked in to this for purely academic reasons. every article i've read says tryptophan isolation is a bitch. it also decomposes with many extraction techniques and is difficult to sep from the other aminos that are always present in greater quantity. on a helpful note-the Jap biosyn pats might bee worth looking up. good luck!
Title: id imagine if one were to really do this,...
Post by: stratosphere on February 17, 2004, 12:56:00 PM
id imagine if one were to really do this, turkey would not bee the most economical protien source. plants, bacteria, or yeasts would surely bee cheaper per g tryptophan.

 obviouslt the process must include isolating the protiens from cellulose, oils, and other "junk"

hydrolyse the protiens to there "monomer" amino acids.

but when it comes to isolating your desired protiens from the protien stew, there must surely bee alternatives to chromotagraghy, how does industry do it?

(just a flight of fancy here) there must be enzymes that could aid in isolation, for instance lets say  an enzyme causes big Try-Ala-Try-Ala-Try-Ala-Try-Ala.... protiens to preciptitate out, then you could collect it, hydrolize it, and surely it would be easy to seperate Try from Ala for instance.
Title: Where's your ethic? But...
Post by: stratosphere on February 19, 2004, 11:47:00 AM
Where's your ethic?  

But... *hello* ...you cannot kill animals to make drugs out of their bodies


what about "lower" forums of animal life, like invertabrates and insects and stuff?, for instance ive seen some compounds (like halogenated indoles) made by marine worms that would make nice precursors.

of course this would require scuba diving, collecting a bunch of nasty worms, putting them in a blender etc, and doesn't really sound to practical or pleasant.
Title: CAS Amino Acids
Post by: Flippie on March 09, 2004, 01:38:00 PM
Hereby I want to retract my former post about the extraction of tryptophan from CAS Amino Acids. Recently I found out that CAS Amino Acids DO NOT contain Tryptophan in considerable amount. Apparently it seems that only 14 Amino Acids are present in this hydrolysate. Tryptophan and 5 other amino acids don't survive the acid hydrolysis. Maybe Tryptophan gets decarboxylated during the proces  ;) .

Title: casein, actually. other crap, too
Post by: gsus on March 20, 2004, 12:31:00 AM
"Tryptophan is isolated from casein in 0.7% yield by Cox and King's [OS, 10, 100 (1930)] adaptation of the procedures given by Hopkins and Cole [J. Physiol., 27, 418 (1901-02)], Dakin [Biochem. J., 12, 290 (1918)] and Onslow [Biochem. J., 15, 392 (1921)]. Commercial pancreatin [yes, from pancreas, easily extracted] is added to an aqueous suspension of commercial casein, [~3% of milk] Na2CO3 and NaF. The mixture is saturated with toluene and allowed to stand at 37° for 5 days. It is shaken daily during this period. Additional pancreatin is added and the mixture is allowed to stand for 12 days. The precipitate which forms on standing overnight in the fridge is reserved for the preparation of tyrosine. H2SO4 is added to the filtrate, the solution is cooled, a solution of HgSO4 in H2SO4 is added, the mixture is allowed to stand for 48 hrs. and the supernatant liquid is siphoned.

  The yellow residual material is washed thoroughly first with a H2SO4 solution of HgSO4 to remove tyrosine and then with dH2O to remove H2SO4. The moist precipitate is suspended in H2O, a hot solution of Ba(OH)2 is added until the mixture is alkaline to phenolphthalein and the Hg+2 removed as HgS. Ba+2 is removed as BaSO4, the filtrate is evaporated in vacuo and the aqueous solution is extracted repeatedly with n-butanol. The butanol solution of tryptophan is distilled in vacuo, the residual material is cooled and filtered, the crude tryptophan is dissolved in hot 60% EtOH, insoluble material is removed, the EtOH solution is decolorized with Norit and the purified tryptophan is washed with EtOH and Et2O. Tryptophan has been isolated from various proteins by this method even though the isolation and purification procedures are long and tedious.

  Sahyun [US2416956, Texas Repts. Biol. Med., 7, 137 (1949)] has recently described a method for the large-scale preparation of crude tryptophan by selective adsorption on C."--- Max S. Dunn and Louis B. Rockland


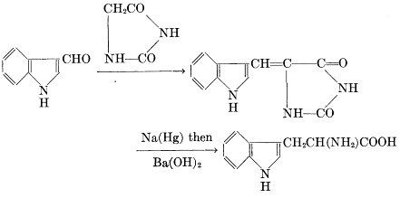
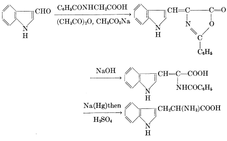
  "Until recently, DL-tryptophan was synthesized exclusively from indole-3-aldehyde. Ellinger and Flamand [Ber., 40, 3029 (1907), Ztschr. f. physio. Chem., 55, 8 (1909)] and Restelli [Anales Soc. Quim. Argentina, 23, 58 (1945)] used the Erlenmeyer-Plochl synthesis. Majima [Ber., 55, 3859 (1922)] used the hydantoin synthesis. He prepared the requisite aldehyde from indoleMgBr and ethyl formate.

(https://www.thevespiary.org/rhodium/Rhodium/hive/hiveboard/picproxie_imgs/767c56f35c47a91393edc12669e10eca.gif)



  Boyd and Robson [Biochem. J., 29, 2256 (1935)] used a similar method to prepare this amino acid. The aldehyde was condensed with hydantoin in the presence of piperidine in 65% yield. Reduction with ammonium sulfide for 500 hrs. gave the amino acid in 70% yield.

(https://www.thevespiary.org/rhodium/Rhodium/hive/hiveboard/picproxie_imgs/bbd97fe34c06c372314487bca19998cb.gif)



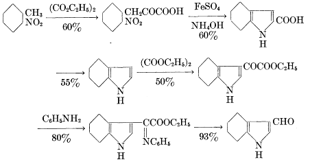
  The chief drawback in the above methods was the preparation of the aldehyde. Attention was directed toward improving the yield in the preparation of this compound. A synthesis from o-nitrotoluene was recently described [J. Chem. Soc., ?, 629 (1944)]. The Boyd-Robson synthesis was then followed, with considerable increase in overall yield. The beta-indolemethylhydantoin was reduced catalytically in quantitative yield.

(https://www.thevespiary.org/rhodium/Rhodium/hive/hiveboard/picproxie_imgs/c78b4f95732f3f1c96a500793e6a72ec.gif)



  Recently it was found that indole-3-aldehyde may be prepared conveniently according to the following equation [J. Am. Chem. Soc., 68, 1156 (1946)]:

(https://www.thevespiary.org/rhodium/Rhodium/hive/hiveboard/picproxie_imgs/05d1c2e0d871892991c3a8e3da09f207.gif)



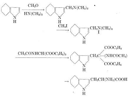
  A modified Sorensen synthesis was employed by Snyder [J. Am. Chem. Soc., 66, 350 (1944)] and Albertson [J. Am. Chem. Soc., 66, 500 (1944)] and their coworkers. These authors discovered that gramine methiodide could be used as an alkylating agent. The reactions from indole are:

(https://www.thevespiary.org/rhodium/Rhodium/hive/hiveboard/picproxie_imgs/ca34898f656e1998870e1801aedf2601.gif)



  Albertson and coworkers [J. Am. Chem. Soc., 67, 36 (1945)] found that if 2 moles of methyl sulfate is added to a mixture of 1 mole of gramine and 1 mole of ethylacetamidomalonate in alcoholic sodium ethoxide the yield in the alkylation step is 95%. When gramine was heated with ethyl acetamidomalonate in boiling xylene with powdered NaOH as catalyst, alkylation occured to the extent of 90% [J. Am. Chem. Soc., 67, 38 (1945)].

  Tryptophan was prepared in 71% overall yield from indole when ethyl acetamidocyanoacetate was substituted for the corresponding malonate [J. Am. Chem. Soc., 67, 502 (1945)].

  A variant of the above method was explored by Little and Weisblat [J. Am. Chem. Soc., 69, 2118 (1947)]. They used ethyl nitroacetate in place of ethyl acetamidomalonate. The ester condensed with gramine to give ethyl alpha-nitro-beta-(3-indolyl)-propionate which was reduced and hydrolysed to the amino acid. The overall yield from gramine was 50%.

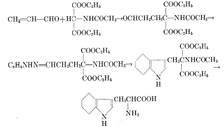
  An interesting DL-tryptophan synthesis which did not use indole as the starting material was reported recently [J. Am. Chem. Soc., 70, 2765 (1948)]. Acrolein was condensed with ethyl acetamidomalonate and the resulting aldehydo-ester isolated as the phenylhydrazone. The latter was subjected to a Fischer indole synthesis where upon the same ester resulted as obtained from gramine and ethyl acetamidomalonate. After hydrolysis and decarboxylation the amino acid was secured in 45% overall yield. The steps are:

(https://www.thevespiary.org/rhodium/Rhodium/hive/hiveboard/picproxie_imgs/687b588da8dc40f35bb658a82c923b6d.gif)



 A feature of this synthesis not shared by others is its adaptability to the preparation of nuclear substituted derivitaves of DL-tryptophan."--- S. Archer
 
  all of this was from Amino Acids and Proteins: Theory, Methods, Application edited by David Greenberg, 1951.

  if any of these refs are ever looked up and found useful, posthumously thank halfapint. and thank Cornell for putting this excellent 950 page book on the web for free. i didn't think anyone would get interested if i just posted the link or the page files. the first part is an outline of the tryptophan from casein synth. that Rhodium has in detail. if you think it sucks, and yes i know it does, blame tryptophan.

http://historical.library.cornell.edu/cgi-bin/cul.neh/docviewer?did=greenber%5Bquote%5Dyou (http://historical.library.cornell.edu/cgi-bin/cul.neh/docviewer?did=greenber%5Bquote%5Dyou)

can only see one page at a time, but you can jump to any page[/quote]