Author Topic: THC Synthesis options  (Read 437 times)

no1uno

  • Global Moderator
  • Foundress Queen
  • *****
  • Posts: 681
THC Synthesis options
« on: August 10, 2010, 01:43:01 AM »
Now I was wandering about the internet the other day and was thinking about something entirely different (Morphine synthesis from two adjacent 6-membered rings, ala "Pummerer's Ketone", strangely enough thinking about that is what led to the biomimetic synthesis of morphine) and for some strange reason had a look at limonene & THC...

That caused me to have a look at Cannibidiol (which apparently has the fortunate habit of cyclizing to THC in acid media), which essentially limonene attached via the ring to 3,5-Dihydroxy-1-pentylbenzene (at the p-position of the benzene ring).

Ok - so how to get to there? The wiki article on Terpineol may well provide the answer (provided the Pummerer-type route is open & I can't see why it shouldn't be).

The two oxygens - the one from the a-Terpineol and either of the phenolic hydroxyl's (look at the molecule - whichever one it binds to will give the same product) ala Pummerer ie. limonene + the 3,5-dihydroxy-1-pentylbenzene should react, in acid media, to give the ketone (given that the cannibidiol & limonene both give the wanted a-terpineol derivative in acid kinda supports that for mine). Once the -O- bond is formed then the rest should be relatively simple (if not exactly OTC or kitchen chemistry), as with morphine & Pummerer's ketone, once that -O- bridge is formed, oxidative cyclization (per Szantay, et al) or cyclization with strong acid (per Rice, et al) should give an effective (and hell shorter) route to THC. That would obviate the clunky as fuck technical synthesis that I've seen floating around online (erowid type).

Wouldn't that be interesting? Actual THC in a short-synthesis that is easier than that of the cannabinoid-receptor-ligands.
« Last Edit: August 10, 2010, 01:45:47 AM by no1uno »
"...     "A little learning is a dang'rous thing;
    Drink deep, or taste not the Pierian spring:
    There shallow draughts intoxicate the brain,
    And drinking largely sobers us again.
..."

Vanadium

  • Larvae
  • *
  • Posts: 48
Re: THC Synthesis options
« Reply #1 on: August 10, 2010, 04:02:53 AM »
I've attached the book on radical chemistry; it's a pretty cool read with the relevant stuff starting on page 19. I have a lot to say on this topic once I've finished the reading and can give the OP some thought.

Edit: After reading through the section I think there are a few flaws in your reasoning, OP. From what I've seen, limonene undergoes SET oxidation to make a trisubstituted allylic radical with the intracyclic double bond; carvone is the oxidation product of this if that helps you visualize things. To perform this radical coupling en route to THC you'd need to get the radical on the other side of the olefin, and this is the kinetic product. I don't know if this product exists nor how easy it would be to make some sort of weird cyclic byproduct with the thermodynamic product (especially given that the reaction would be intramolecular if your proposed ether synthesis works).

And as to your proposed ether synthesis, you say that the compounds should react in acid media to "form the ketone". What ketone are you talking about? Have you added your radical initiator already? If not, then I can only assume that you mean the dehydration product of 3,5-dihydroxy pentylbenzene and terpineol (which is an ether). This seems highly improbable, even if done anhydrously (which is too a word), particularly given that the paper cited on wikipedia gave only 76% regioselectivity for the hydration of limonene. The byproducts would still be olefins and their allylic radicals would likely react with your aromatic during the subsequent cyclisation if you decide to do it via that method (I haven't seen Rice's paper so I can't comment on that).

But those are just some considerations; overall I like the idea, especially if one isn't necessarily aiming for a pure compound. I'd imagine TsOH would also work for the initial addition.

If you could upload some papers talking about the second ring-forming step that would be very much appreciated.  :-*
« Last Edit: August 10, 2010, 07:20:12 AM by Vanadium »

no1uno

  • Global Moderator
  • Foundress Queen
  • *****
  • Posts: 681
Re: THC Synthesis options
« Reply #2 on: August 10, 2010, 07:33:40 AM »
Have a peek at one of the cheapest essential oil terpines - Eucalyptol which has the double=bonded oxygen ether in the center of the reduced-limonene structure already - this would cleave readily enough to give the quaternary OH at the top and the other quaternary OH at the bottom - ie. it will bond via the hydroxyls with the phenolic hydroxyls of the olivetol. Dehydration of the top one gives us the ability to add the unsaturation in the correct spot.

Actually, Razdan (in his review of Cannabinoid's, attached) describes the synthesis from the cleaved "epoxide" (aka p-meth-2-ene-1,8-diol) on pages 197-198 (pp.12-13 of the attached paper), which gives the best yields with ZnCl2/CH2Cl2.

Just looking around at the various routes to olivetol, I'll attach a couple of the better routes soon - surely there is an FC route? Although there are several that look do-able. Nearly all of them proceed from 3,5-dihydroxybenzoic acid (a-resorcylic acid) which you will see isn't that far removed from benzoic acid itself.
« Last Edit: August 10, 2010, 07:53:55 AM by no1uno »
"...     "A little learning is a dang'rous thing;
    Drink deep, or taste not the Pierian spring:
    There shallow draughts intoxicate the brain,
    And drinking largely sobers us again.
..."

Vanadium

  • Larvae
  • *
  • Posts: 48
Re: THC Synthesis options
« Reply #3 on: August 10, 2010, 08:15:22 AM »
Maybe decarboxylating the benzoic acid after the sulfonation and do the F-C then?

no1uno

  • Global Moderator
  • Foundress Queen
  • *****
  • Posts: 681
Re: THC Synthesis options
« Reply #4 on: August 10, 2010, 11:14:17 AM »
I have two papers on the subject - they both go via the reduction of the acid, then a Grignard from that... One is for labeling purposes and seems to have shit yields overall, but the relevant part of the synthesis (they add a labeled methyl group to the end of the chain - so we can disregard that fuck around) is the use of n-butyl halides.

I have requested a couple more on the synthesis of the Olevitol, obviously it was a sticking point to the researchers as well, so there are some big names involved in the synthesis of the intermediate.

Nitration of benzoic acid gives 3,5-dinitrobenzoic acid and supposedly the 3,5-dihydroxycompound from the 3,5-diaminobenzoic acid when reacted with ammonium hydrogen sulfate (according to this patent).

Interesting, the nitration does not need fuming sulfuric acid (always a hassle), but does reportedly need fuming nitric acid, to give the 3,5-dinitrobenzoic acid. But at least that way there is no need for alkali fusion and shitloads of solvents (the sulfuric acid route does NOT appeal).

Fuming nitric acid may or may not be necessary, there are several papers on the preparation of 3/m-nitrobenzoic acid (even in the MW) in much less arduous conditions. Further nitration may or may not need harsher conditions, I'm searching everywhere I can think of to find out. I have found at least one paper (Russian IIRC) that claims the best route to the 3,5-dinitrobenzoic acid is from the 3/m-nitrobenzoic acid.

Harder than that is working out a workable source of n-butyl alcohol, or n-pentanoic acid to react with the benzaldehyde/benzyl halide.

One step at a time, although the last paper seems to hold the key to a nice, short and more to the point, fairly simple route to the 3,5-dinitrobenzoic acid (excerpt pp.370-371, pp.3-4 of the attached paper):

3:5-Dinitrobenzoic acid

Benzoic acid (50 g.) was dissolved in conc. H2SO4 (230 ml.) in a litre flask which was then fitted with a ground-in condenser. Nitric acid (73 ml., sp.gr. 1.5) was then added, a few ml. at a time, the flask being well shaken and cooled in ice-water during the addition. Much heat was evolved and a clear yellow solution was obtained. After adding porous pot, the mixture was heated gradually in a water bath up to 100° during 45 min. At 70-80° the reaction tended to become vigorous and was moderated, when necessary, by  immersing the flask in cold water. The mixture was maintained at 100° for 15 min., with occasional shaking, and then transferred to an oil bath at 100° and the temperature raised to 130° over 30 min. and then kept between 130 and 140° for 1 hr. (The total period of heating was thus 2- hr.) The flask was allowed to cool and at about 90°, crystals began to separate, the process of crystallization being accelerated by shaking. When cold, the contents of the flask were poured into 3-4 L. of ice-water and the crystals filtered off. After washing with water and drying they had M.P. 204° and were sufficiently pure, without recrystallization, for most purposes. (Found: C: 39.6; H: 2.04. Calc. for C7H406N2: C: 39.6; H: 1.90 %). After recrystallization from water, the acid was obtained in characteristic rhombs. M.P. 204°.


That looks easy enough, especially given that to proceed ANY further a Grignard/Alkyllithium is needed (ie. if the procedure above scares you, don't proceed).

PS Just added another synthetic route to Olivetol

PPS If we could only access the 3,5-dihydroxybenzaldehyde, it would under Claisen-Schmidt Condensation with 2-butanone (MEK), with basic catalyst, to give the 3,5-dihydroxy-1-phenylpentan-3-one, which upon reduction gives the 3,5-dihydroxy-1-pentylbenzene (aka olivetol). It is just reducing that fucking benzoic acid to the benzaldehyde...
« Last Edit: August 10, 2010, 02:57:44 PM by no1uno »
"...     "A little learning is a dang'rous thing;
    Drink deep, or taste not the Pierian spring:
    There shallow draughts intoxicate the brain,
    And drinking largely sobers us again.
..."

no1uno

  • Global Moderator
  • Foundress Queen
  • *****
  • Posts: 681
Re: THC Synthesis options
« Reply #5 on: August 10, 2010, 07:08:52 PM »
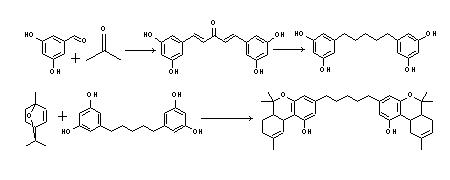
Double=post time - anyone else think that Resveratrol would be an interesting project to make THC analogues from? I mean, Resveratrol and Eucalyptol are both OTC, and there is at least one paper which says that Resveratrol already binds to the CB1 Cannabinoid Receptor (only to be expected, same base structure as THC & the other cannabinoids based thereon, different side chain, but the length looks about right (anyone want to superimpose them?). Analogue wise, I think it might even scrape through, there is a whole-nother ring is a big argument even judges can understand.

I'll attach one I have found - the use of pyridine with acidic-phenolic OH's leads DIRECTLY to the Cannibinoid analogues

I'm wondering about the use of oxyresveratrol - the 3,3,5,5-tetrahydroxystilbene - that would presumably form the cannabinoid on each veratrole group - that would be funky as fuck ::)

Whereas if the 3,5-dihydroxybenzaldehyde is available might just as well condense it with acetone to get the 5-carbon chain between the two veratrole groups. Condense that with a terpene and get a dicannabinoid that is essentially a double-ended THC. I dunno how that will bond, but I suspect it would have to, same n-pentyl chain, same back end, just with whole 'nother back end on the other end of the pentyl chain. What DiTHC? The suggested procedure is sketched & attached.
« Last Edit: August 11, 2010, 03:47:01 AM by no1uno »
"...     "A little learning is a dang'rous thing;
    Drink deep, or taste not the Pierian spring:
    There shallow draughts intoxicate the brain,
    And drinking largely sobers us again.
..."

Vanadium

  • Larvae
  • *
  • Posts: 48
Re: THC Synthesis options
« Reply #6 on: August 16, 2010, 08:30:05 AM »
Very little of what you posted in your last post is reasonable, particularly "di-THC", I mean what the fuck man? Look at the link you gave to the paper, the authors retracted their findings. I suggest you read up on the decarboxylation of substituted benzoic acids or perhaps a way of cleaving that alkene on resveratrol (though many have tried). Sorry to be a dick but I don't have time on my hands, this is interesting and your aldol route to the oxidized olivetol is very good, but you should do more reading first.

Happyman

  • Subordinate Wasp
  • ***
  • Posts: 122
Re: THC Synthesis options
« Reply #7 on: October 19, 2010, 12:26:00 AM »
I found the article that all you guys should of been looking for. 8) Delta-9-THC via Pummerer's Ketone. Well... metabolites, close enough.
http://scholarspace.manoa.hawaii.edu/bitstream/10125/9500/1/uhm_phd_9205864_r.pdf
« Last Edit: October 19, 2010, 12:38:27 AM by Happyman »

Methyl Man

  • Subordinate Wasp
  • ***
  • Posts: 143
Re: THC Synthesis options
« Reply #8 on: April 22, 2011, 05:14:07 PM »
Has everyone/anyone seen this? I find it a fascinating prospect, since d-limonene is so easily available:

LAC 674,93 (1964) cf. BSC 3961 (1971), JOC 38,1684 (1973)

136g (+)limonene in 2 liters methanol; 2g bengal rose dye. Illuminate with a high voltage Hg lamp (e.g., HgH 5000) for fourteen hours or until about 1M of O2 is taken up. Evaporate the methanol at 0-10øC to about 500 ml and then stir with ice cooling and add this solution dropwise to solution of 250g Na2CO3 in 1.5 liters water and continue stirring for twelve hours. Heat two hours at 70øC and extract with ether and dry, evaporate in vacuum (can distill with addition of Na2CO3 at 40-70/0.2) to get about 100g mixture containing about 40% product which can be purified by fractional distillation.
==============================================

The only part that really confuses me is where it says "evaporate the methanol at 0-10C", unless they mean under really strong vac.
There's a methyl to my madness...
==+==+==+==+==+==+==+==+==+==

nk40ouvm

  • Pupae
  • **
  • Posts: 73
Re: THC Synthesis options
« Reply #9 on: April 22, 2011, 09:22:29 PM »
Has everyone/anyone seen this? I find it a fascinating prospect, since d-limonene is so easily available:

LAC 674,93 (1964) cf. BSC 3961 (1971), JOC 38,1684 (1973)

136g (+)limonene in 2 liters methanol; 2g bengal rose dye. Illuminate with a high voltage Hg lamp (e.g., HgH 5000) for fourteen hours or until about 1M of O2 is taken up. Evaporate the methanol at 0-10øC to about 500 ml and then stir with ice cooling and add this solution dropwise to solution of 250g Na2CO3 in 1.5 liters water and continue stirring for twelve hours. Heat two hours at 70øC and extract with ether and dry, evaporate in vacuum (can distill with addition of Na2CO3 at 40-70/0.2) to get about 100g mixture containing about 40% product which can be purified by fractional distillation.
==============================================

The only part that really confuses me is where it says "evaporate the methanol at 0-10C", unless they mean under really strong vac.

Yes, it means under strong vacuum. You excerpted that quote from the Rhodium THC chemistry page where it occurs, right? That same page says that the low-temperature evaporation is to work safely with the potentially explosive hydroperoxide mixture.

xxxxx

  • Larvae
  • *
  • Posts: 8
Re: THC Synthesis options
« Reply #10 on: April 22, 2011, 10:14:36 PM »
Here is one of the referances if anyone wants to check it, I'll work on getting the rest:

(+)-Limonene oxidation with selenium dioxide-hydrogen peroxide
Charles W. Wilson III, Philip E. Shaw
J. Org. Chem., 1973, 38 (9), pp 1684–1687
DOI: 10.1021/jo00949a014

JustDreaming

  • Pupae
  • **
  • Posts: 53
Re: THC Synthesis options
« Reply #11 on: April 23, 2011, 04:12:08 PM »
hxxp://books.google.com/books?id=3Lbga8F5-48C&pg=PA62&dq=olivetol+biomimetic+synthesis&hl=en&ei=tfiyTe7mMeTt0gGE0pT1CA&sa=X&oi=book_result&ct=result&resnum=1&ved=0CDAQ6AEwAA#v=onepage&q=olivetol%20biomimetic%20synthesis&f=false

I apologize in advance for not having a downloadable .pdf for this. The above is for olivetol. This would be a lot of work, but starting so small, has it's advantages safety-wise. Although otto snow has an excellent book on THC that I highly recommend. I would upload it but it is too large(68mb). THC and Tropacocaines by otto snow.
« Last Edit: July 07, 2011, 04:53:50 PM by JustDreaming »
This never really happens, but an eye still see's these things. It keeps happening. You just don't see it.

Methyl Man

  • Subordinate Wasp
  • ***
  • Posts: 143
Re: THC Synthesis options
« Reply #12 on: April 25, 2011, 04:02:36 AM »
Has everyone/anyone seen this? I find it a fascinating prospect, since d-limonene is so easily available:

LAC 674,93 (1964) cf. BSC 3961 (1971), JOC 38,1684 (1973)

136g (+)limonene in 2 liters methanol; 2g bengal rose dye. Illuminate with a high voltage Hg lamp (e.g., HgH 5000) for fourteen hours or until about 1M of O2 is taken up. Evaporate the methanol at 0-10øC to about 500 ml and then stir with ice cooling and add this solution dropwise to solution of 250g Na2CO3 in 1.5 liters water and continue stirring for twelve hours. Heat two hours at 70øC and extract with ether and dry, evaporate in vacuum (can distill with addition of Na2CO3 at 40-70/0.2) to get about 100g mixture containing about 40% product which can be purified by fractional distillation.
==============================================

The only part that really confuses me is where it says "evaporate the methanol at 0-10C", unless they mean under really strong vac.

Yes, it means under strong vacuum. You excerpted that quote from the Rhodium THC chemistry page where it occurs, right? That same page says that the low-temperature evaporation is to work safely with the potentially explosive hydroperoxide mixture.

No, actually it's an excerpt from the Smith book Psychedelic Chemistry, but maybe we're talking about the same thing if it appears at Rhodium too.

Thanks for the warning if that is the case, I had no idea. That'll teach me to ask a knowledgable friend about any and all scenarios I might consider participating in regarding hidden dangers such as that one. Explosive peroxides are without doubt over the top for me. None for me, thanks.

I don't even get how you can distill MeOH at less than room temp even with a really powerful vac, I'm sorry. 10C being 50F... how is it done, you cool it and yet distill it at the same time? The vac being so strong that it pulls the cold MeOH vapor over? My vac pump is surely not in that league.

You know, I think this synth, as slick as it is, still just gives the one isomer (Delta 9 I assume?) and I hear that it is not really that much fun at all when isolated. Maybe the product would have to be mixed with High-CBD oil from an extraction to be something that feels good. It would be weird to be high on THC that originated from orange rind instead of cannabis plants.
There's a methyl to my madness...
==+==+==+==+==+==+==+==+==+==

RoidRage

  • Dominant Queen
  • ****
  • Posts: 386
Re: THC Synthesis options
« Reply #13 on: April 25, 2011, 04:07:39 AM »
Methyl Man...You do not need that strong of a vacuum to pull methanol at that temp...For example I distill toluene at about 25C (Boils at 110 @ 760mm Hg) and my pump pulls 10mm Hg, which isn't that strong...That means I would pull methanol at 10C...

Methyl Man

  • Subordinate Wasp
  • ***
  • Posts: 143
Re: THC Synthesis options
« Reply #14 on: April 25, 2011, 06:47:46 AM »
Thanks RR. You know what, I went on lookchem.com today and posted a request for info on bengal rose dye and woah, in about 10 minutes 40 Chinese suppliers had emailed me and given a wide range of prices for it. Gawd, these Chinese chem sellers so reek of desperation. I love it :)

I'm really wondering whether this synth would be worth trying because I already have limonene and after the bengal rose stuff, everything else is dirt cheap (only MeOH and sodium carbonate, wasn't it)?

I mean even if I screwed it up, it is such a novel synth that it would be worth doing it for the sheer novelty of it, especially if it were photo-documented.

That reminds me---why are there no photos attached to posts here? I've seen small diagrams of course, but no actual pics... is there a rule (forgive me mods if it's in a FAQ or something, I'll look now...)?
« Last Edit: April 25, 2011, 06:49:58 AM by Methyl Man »
There's a methyl to my madness...
==+==+==+==+==+==+==+==+==+==

RoidRage

  • Dominant Queen
  • ****
  • Posts: 386
Re: THC Synthesis options
« Reply #15 on: April 25, 2011, 06:19:00 PM »

That reminds me---why are there no photos attached to posts here? I've seen small diagrams of course, but no actual pics... is there a rule (forgive me mods if it's in a FAQ or something, I'll look now...)?

I don't think there is a rule about posting pictures as far as I know...Member Palladium posted some lovely ones when he was working on Jon's Bromosafrole route. I like pictures :D I would post some too if I would be running something novel, which I'm not at the moment. Maybe later this summer ;)

Vesp

  • Administrator
  • Foundress Queen
  • *****
  • Posts: 3,130
Re: THC Synthesis options
« Reply #16 on: April 25, 2011, 07:58:10 PM »

That reminds me---why are there no photos attached to posts here? I've seen small diagrams of course, but no actual pics... is there a rule (forgive me mods if it's in a FAQ or something, I'll look now...)?

I don't think there is a rule about posting pictures as far as I know...Member Palladium posted some lovely ones when he was working on Jon's Bromosafrole route. I like pictures :D I would post some too if I would be running something novel, which I'm not at the moment. Maybe later this summer ;)

Pictures are wanted, and to be attached - not embedded! The idea here is that it prevents it from being lost as easily.
Just make sure the picture is "safe" for you to post.
 
Bitcoin address: 1FVrHdXJBr6Z9uhtiQKy4g7c7yHtGKjyLy

xxxxx

  • Larvae
  • *
  • Posts: 8
Re: THC Synthesis options
« Reply #17 on: April 25, 2011, 08:57:08 PM »
I find pictures really useful when I'm trying to figure out if a synth is working so I try add them when I can.

You have to be careful when your taking pictures to avoid a number of things. Firstly make sure to take photos against a blank wall or background, you never know what can be used to help narrow down your location. Also its good to use a white background as it makes the reaction colors clearer.

You should also be aware of the lighting in your photos as it can be possible for reflections on glassware to be very revealing!

In a technical sense you need to be careful to remove all metadata from your images. Cameras can store the date and time the photo is taken, the model of the camera and other information. Some camera phones can even record the GPS cooridinates of where the photo was taken! That wouldn't be good! What I found to work well is http://www.steelbytes.com/?mid=30. It will strip all the metadata from JPEGS and PNGS.

Finally attach the images to the post. Its much better than linking to external upload sites which can track user information and also it helps prevent broken links and missing content.
Looking forward to seeing some pics, keep safe!

atara

  • Dominant Queen
  • ****
  • Posts: 256
Re: THC Synthesis options
« Reply #18 on: April 26, 2011, 03:44:17 AM »
Double=post time - anyone else think that Resveratrol would be an interesting project to make THC analogues from? I mean, Resveratrol and Eucalyptol are both OTC, and there is at least one paper which says that Resveratrol already binds to the CB1 Cannabinoid Receptor (only to be expected, same base structure as THC & the other cannabinoids based thereon, different side chain, but the length looks about right (anyone want to superimpose them?). Analogue wise, I think it might even scrape through, there is a whole-nother ring is a big argument even judges can understand.

There are a metric fuck-ton of resorcinols which can in theory be condensed with terpenes to yield cannabinoids. Resveratrol is just the tip of a big iceberg. Unfortunately most of them are flavonoids and I don't know if those will give anything useful.

JustDreaming

  • Pupae
  • **
  • Posts: 53
Re: THC Synthesis options
« Reply #19 on: April 29, 2011, 04:58:50 PM »
How would one suggest condensing these? H2SO4 similar to citral and olivetol(Otto Snow, THC & Tropacocaines)? Could be a fun little experiment. My biggest cause for concern would be a drastic change in activity. Though this of course depends entirely on what the final product of such a reaction even is. It could be quite scary to try something like this blind(no analytical equipment). I'll have to think about this a bit, instead of just posting. Maybe this is worthy of a different thread?
This never really happens, but an eye still see's these things. It keeps happening. You just don't see it.