Author Topic: Proposed synthesis of a 25C-NBMD derivative.  (Read 310 times)

NaBH4

  • Pupae
  • **
  • Posts: 57
Proposed synthesis of a 25C-NBMD derivative.
« on: April 10, 2011, 10:24:45 AM »
Hi,
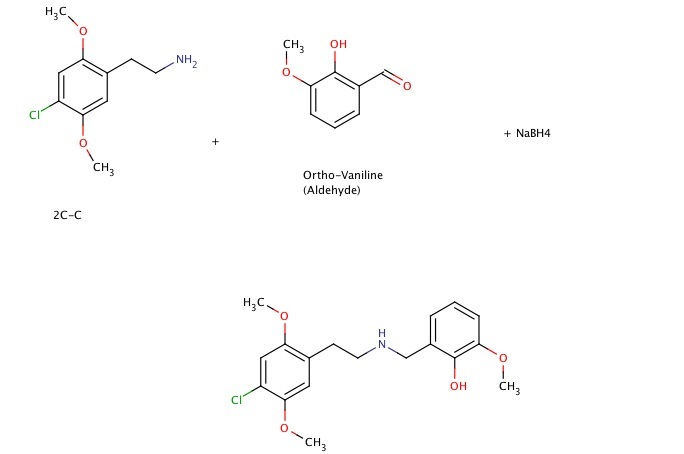
I though about a synthesis of a derivative of the 25C-NBMD using the ortho-vanilic aldehyde.





First, you add the aldehyde to the -NH2, and then, you hydrogenate the covalent bond with NaBH4.
Yields 2C-C-NBOHMe.

I remember that paper by  Nichols but i can't remind me if he used an aldehyde or if he used a chloride/bromide to perform the substitution.


kisses. :D
« Last Edit: June 02, 2011, 03:25:36 AM by Vesp »
"All simple monkeys with alien babies, amphetamines for boys, crucifixes for ladies ...."

Sedit

  • Global Moderator
  • Foundress Queen
  • *****
  • Posts: 2,099
Re: Proposed synthesis of a 25C-NBMD derivative.
« Reply #1 on: April 10, 2011, 04:21:37 PM »
This is a standard reductive amination possible by standard methods as so long as the benzylic halogen is uneffected.
There once were some bees and you took all there stuff!
You pissed off the wasp now enough is enough!!!

atara

  • Dominant Queen
  • ****
  • Posts: 256
Re: Proposed synthesis of a 25C-NBMD derivative.
« Reply #2 on: April 11, 2011, 04:41:18 AM »
That phenol needs to be covered by a methyl in order for the compound to enter the brain, I believe.

Sedit

  • Global Moderator
  • Foundress Queen
  • *****
  • Posts: 2,099
Re: Proposed synthesis of a 25C-NBMD derivative.
« Reply #3 on: April 11, 2011, 05:24:04 AM »
Thats untrue. This logic is very common and the result of Amphetamine chemistry being the #1 way people learn neurochemistry. PSE does not cross because of the hydroxyl but take Morphine as a prime example... two highly exposed hydroxyls and no problems.
There once were some bees and you took all there stuff!
You pissed off the wasp now enough is enough!!!

NaBH4

  • Pupae
  • **
  • Posts: 57
Re: Proposed synthesis of a 25C-NBMD derivative.
« Reply #4 on: April 11, 2011, 11:30:46 AM »
well, i could simply use iodomethan to methylate the -OH group on the phenol.
 
I wondered which solvent use 'cause i DO know NaBH4 isn't very soluble in D-H20. Propylen glycol or even ether ?
"All simple monkeys with alien babies, amphetamines for boys, crucifixes for ladies ...."

Methansaeuretierchen

  • Larvae
  • *
  • Posts: 27
Re: Proposed synthesis of a 25C-NBMD derivative.
« Reply #5 on: June 02, 2011, 02:18:44 AM »
I also thought about this compound. I tried severaly derivates, but not exactly this one.

In-situ imine formation with your amine and ~1,2eq of your aldehyde in dry MeOH (for example 100mls for 3g substrate, may take several hours to form the imine completly. You can check progress with TLC by part. reduction with NaBH4/MeOH in a test-tube and an eluent made of DCM and petrol ether 50:50 staurated with NH3) and reduction with excess NaBH4 should work. Add dest. water to stop reaction and remove most of the MeOH under reduced pressure.

Add some aq. NaOH and extract with DCM to get freebase. Dissolve in with HCl (gas) sat. IPA and evaporate to get the HCl salt. Usual A/B extraction does not work (will cause very low yields of about 10%).

Recr. can be done from waterfree EtOH.

Works with 2-MeO-Benzaldehyde and 2-OH-Benzalydehyde at least in >70% yields after recr..
Use only very pure amines and dry MeOH... otherwise you will get a sharp drop in yield.

Another way it to go via the benzoic acid, the amide and reduction with LAH or NaBH4/H2SO4 in THF. Yields are also very nice (in the 90% range in thelast sept). But takes longer.


Tell us if you find an interesting conpound. I enjoyed the 2-MeOs and the 2-OHs very much. The are very very active. Completly different to tbeir 2C counterparts. Much harder, violent and more euphoric. Very strong visuals. Veeery potent. Be careful! The N-Benzyl without further substitution are also active but you need 10-20mgs for the same effects of 500µgs of the 2-MeO or 2-OH stuff.

N-Benzyl Tryptamines should be also interesting.
« Last Edit: June 02, 2011, 02:36:43 AM by Methansaeuretierchen »

JustDreaming

  • Pupae
  • **
  • Posts: 53
Re: Proposed synthesis of a 25C-NBMD derivative.
« Reply #6 on: June 04, 2011, 08:05:12 PM »
With things such as n-benzyl tryptamines wouldn't you be worried about the metabolic products of such compounds?
This never really happens, but an eye still see's these things. It keeps happening. You just don't see it.

NaBH4

  • Pupae
  • **
  • Posts: 57
Re: Proposed synthesis of a 25C-NBMD derivative.
« Reply #7 on: June 05, 2011, 12:25:22 PM »
In Theoretical study of the interaction of agonists with the 5-HT2A receptor by Maria H.Silva, N-benzyl tryptamines are claimed to have very potential effects of the 5-HT2A receptors.
Could be interesting to make a compound and try it out.

"All simple monkeys with alien babies, amphetamines for boys, crucifixes for ladies ...."

Methansaeuretierchen

  • Larvae
  • *
  • Posts: 27
Re: Proposed synthesis of a 25C-NBMD derivative.
« Reply #8 on: June 26, 2011, 01:22:35 AM »
With things such as n-benzyl tryptamines wouldn't you be worried about the metabolic products of such compounds?
What kind of metabolites are you thinking exactly of? I'm not such a G in toxicology ;)

jon

  • Foundress Queen
  • *****
  • Posts: 1,883
Re: Proposed synthesis of a 25C-NBMD derivative.
« Reply #9 on: June 26, 2011, 05:52:32 AM »
it would be practical to just buy the phenylethylamine and reductively aminate it with anisyl aldehyde.
yeilds are good 87% or so.
considering the potency of the stuff it would be logical to buy 2-CI for 125 bucks a gram for example and just do the one reaction.
it retails for between 4 and 10 grand a gram.
LSD prices.
also i'm curious about the n-benzyl-2-methoxyderivative of 5 methoxy tryptamine?
has anyone any pharmacological data on this?
i know it is a potent 5HTa agonist.
i was just wondering how potent it is and it's qualitative effects.
it looks like the closest phamacophore of lsd of all of these compounds and access to 5-methoxy tryptamine is easyly avalialble from melatonin

this is exemplary of how it could be done:


Method 7 (stepwise reductive alkylation)

In a baked dry flask (150 °C, 72 h) 0.35 g (1.84 mmol) 5-Methoxytryptamine under N2-atmosphere in 25 mL absolute MeOH is dissolved. A solution of 0.20 g (1.88 mmol) benzaldehyde in 1.0 mL absolute MeOH, are added at room temperature via syringe within 30 min dropwise and the Reaction solution is stirred at room temperature until the benzaldehyde has completely finished reacting(1.5 h).The DC inspection still shows unreacted 5-Methoxytryptamine, a few drops of the Benzaldehyde are added once again and stirred at room temperature until a quantitative reaction revenue is reached.  The Imine formed in situ is reduced by addition of 0.21 g (5.52 mmol) Sodium Borohydride(NaBH4).  After 1 h the reaction is terminated by carefully adding 10 mL water, MeOH is removed on a rotary evaporator, the residue is basified with NaOH (c = 3 mol ? L-1) (pH = 11) and extracted with CH2Cl2 (5 ×
30 mL). The combined CH2Cl2 phases are diluted with water (3 × 20 mL) and sat. NaCl
Sol (1 × 30 mL), dried over MgSO4, filtered and concentrated under vacuum. The isolated colorless solid is taken up in CH2Cl2 and cleaned via rotation planar chromatography (FM: CH2Cl2 + PE = 6 + 4, NH3-Atm.).

[2-(2,5-Dimethoxy-4-iodophenyl)ethyl]-(2-methoxybenzyl)amine (236)

The synthesis takes place via a gradual reductive alkylation analogous to Method 7  (Abschn. 5.3.2, P. 233) with 0.23 g (0.75 mmol) of the primary Amine 42 and 0.12 g  (0.88 mmol) 2-Methoxybenzaldehyde in 20 mL absolute MeOH. After 5 h again a few drops  of Aldehyde admitted, stirred for 12 h and reduced with 0.28 g (7.5 mmol)  NaBH4. The resulting orange oil (0.45 g) will be dissolved in a little CH2Cl2 and then 45g of silica gel using flash chromatography.(FM:  CHCl3 + MeOH (NH3) = 98 + 2).

Yield:  0.25g (0.59mmol) colorless oil (79% d. Th)
C18H22INO3 (Mr= 427.27) free Base


Crystalization as Hydrochloride:

A part of the free Base (0.20 g, 0.47 mmol) is dissolved in a little absolute Et2O  and under stirring a solution of 1 mL i-PrOH/HCl (c ? 5 - 6 mol * L-1) in 10 mL absolute  Et2O is added dropwise. The Reaction solution, is stored for 48 h at -18 °C, the  colorless solid is centrifuged, washed with absolute Et2O and dried for 8 h in high  vacuum (10-2 Torr, room temperature).

Yield:  0.20g (0.43mmol) colorless solid (92% d. Th)
DC:   CHCl3 + MeOH(NH3)= 98 + 2 (RF=0.20)
Fp:   166*C
« Last Edit: June 26, 2011, 07:16:10 AM by jon »