The alkyne is brilliant, I could even see this working.
atara
- Dominant Queen




- Posts: 256
Bluebottle
- Subordinate Wasp



- Posts: 125
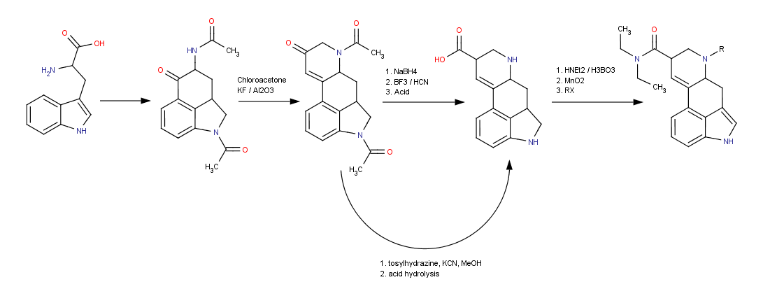
First and foremost, the image below represents a simple general scheme, and if that's not readily available I don't know what is. Basically just a twist on the original Kornfeld/Woodward synthesis.
Note that KF/Alumina as a strong base would also be apt to catalyze the aldol condensation depicted. (Yes I know chloroacetone is reactive, I never said the yield would be perfect. But look at what you got, a common amino acid, some zinc dust, some anhydride, and aluminum chloride.)
[edit - alkaline hydrolysis would probably be more advisable]
---
To quickly answer Tungsten's question, I still don't know what the mechanism for its formation is, but that intermediate is an azlactone which according to Rebek friedel crafts acylates itself in DCM with catalytic AlCl3. So you should check out his classic paper.
---
Atara: Ahaa, you'd think so. You might change your mind. But thank you in any case.
Regarding the alkyne thing. Straight propiolic acid would not work because of an unlikely dianion, its diethylamide must be used. So what about hydrolysis right? The only thing I could find that might work was a procedure using ZnCl2 in triethylamine. OTC and a good bet.
Using the diamide of the ketone as a substrate would be necessary to prevent dimerization. But the problem is, you would later have to hydrolyse it, which would also take off the diethylamide. Now for the sake of argument lets assume thats not an issue.
It would be best have the the amine alkylated before the formiminium ion be formed. At the tryptophan stage benzaldehyde/furfural and methyl iodide should handle it. Otherwise I can easily imagine how a pyrrole ring would be formed, especially with residues of ZnCl2 or any stray H+ .
Then there's all that reduction and titanium hoo-haw. No no, even if it all did work I daresay there's probably an easier way. Attached below.
---
General interest:
Regarding the dehydrogenation and cyclization there might just be an easier way or two, even regardless of the rest of the synthesis.
It seems the reduction of tryptophan with Zn/H3PO4 under nitrogen would be a long drawn out affair, judging by the conditions in Gribble's preparation of indoline (thanks java!). But whether or not it would also cyclise in that same stew, and to what, is an open question - my hopeful thought was that it would acylate intramolecularly after it reduced (and there are precedents of carboxylic acids and esters as well as zinc oxide and even graphite catalysts in FC acylation...)
For various reasons I'm not as optimistic about that part of it. But phosphoric acid is relatively weak and might not catalyze the acylation itself. So it might still be a useful way to reduce it without palladium.
See:
http://www.organic-chemistry.org/abstracts/literature/290.shtm
http://www.organic-chemistry.org/abstracts/literature/823.shtm
http://www.organic-chemistry.org/abstracts/literature/372.shtm [see it requires a strong acid]
as well as an attached file that might be of general interest.
There also exist reductions of indole to indoline using NaBH4 in various acids, acetic acid being a notable one (http://www.erowid.org/archive/rhodium/pdf/nabh4.carboxylic.acids.pdf). I think oxalic acid might be usable, but the only reference I could find twixt NaBH4 and (COOH)2 is that they react particularly violently dry or concentrated in water. Borane which itself reduces indole can be made from NaBH4 and conc. H2SO4 in ~80% yield (less per dilution). So there might be that way as well.
But all in all reflux in acid anhydride to form the azlactone followed by AlCl3 catalysis a la Rebek is probably the best cyclization... Unless one starts with indole+acrylic acid->indolepropionic acid, N-pivaloyl protection etc. as some do. But why bother, that's just bound to be more hassle: tryptophan is cheap and involves fewer steps.
Note that KF/Alumina as a strong base would also be apt to catalyze the aldol condensation depicted. (Yes I know chloroacetone is reactive, I never said the yield would be perfect. But look at what you got, a common amino acid, some zinc dust, some anhydride, and aluminum chloride.)
[edit - alkaline hydrolysis would probably be more advisable]
---
To quickly answer Tungsten's question, I still don't know what the mechanism for its formation is, but that intermediate is an azlactone which according to Rebek friedel crafts acylates itself in DCM with catalytic AlCl3. So you should check out his classic paper.
---
Atara: Ahaa, you'd think so. You might change your mind. But thank you in any case.
Regarding the alkyne thing. Straight propiolic acid would not work because of an unlikely dianion, its diethylamide must be used. So what about hydrolysis right? The only thing I could find that might work was a procedure using ZnCl2 in triethylamine. OTC and a good bet.
Using the diamide of the ketone as a substrate would be necessary to prevent dimerization. But the problem is, you would later have to hydrolyse it, which would also take off the diethylamide. Now for the sake of argument lets assume thats not an issue.
It would be best have the the amine alkylated before the formiminium ion be formed. At the tryptophan stage benzaldehyde/furfural and methyl iodide should handle it. Otherwise I can easily imagine how a pyrrole ring would be formed, especially with residues of ZnCl2 or any stray H+ .
Then there's all that reduction and titanium hoo-haw. No no, even if it all did work I daresay there's probably an easier way. Attached below.
---
General interest:
Regarding the dehydrogenation and cyclization there might just be an easier way or two, even regardless of the rest of the synthesis.
It seems the reduction of tryptophan with Zn/H3PO4 under nitrogen would be a long drawn out affair, judging by the conditions in Gribble's preparation of indoline (thanks java!). But whether or not it would also cyclise in that same stew, and to what, is an open question - my hopeful thought was that it would acylate intramolecularly after it reduced (and there are precedents of carboxylic acids and esters as well as zinc oxide and even graphite catalysts in FC acylation...)
For various reasons I'm not as optimistic about that part of it. But phosphoric acid is relatively weak and might not catalyze the acylation itself. So it might still be a useful way to reduce it without palladium.
See:
http://www.organic-chemistry.org/abstracts/literature/290.shtm
http://www.organic-chemistry.org/abstracts/literature/823.shtm
http://www.organic-chemistry.org/abstracts/literature/372.shtm [see it requires a strong acid]
as well as an attached file that might be of general interest.
There also exist reductions of indole to indoline using NaBH4 in various acids, acetic acid being a notable one (http://www.erowid.org/archive/rhodium/pdf/nabh4.carboxylic.acids.pdf). I think oxalic acid might be usable, but the only reference I could find twixt NaBH4 and (COOH)2 is that they react particularly violently dry or concentrated in water. Borane which itself reduces indole can be made from NaBH4 and conc. H2SO4 in ~80% yield (less per dilution). So there might be that way as well.
But all in all reflux in acid anhydride to form the azlactone followed by AlCl3 catalysis a la Rebek is probably the best cyclization... Unless one starts with indole+acrylic acid->indolepropionic acid, N-pivaloyl protection etc. as some do. But why bother, that's just bound to be more hassle: tryptophan is cheap and involves fewer steps.
Tungsten.
- Larvae

- Posts: 44
Thanks. Do you have a link to the paper? Google doesn't seem to turn anything up.
The main reason that I ask is that it seems that the hydrogen on the alpha carbon will have the wrong stereochemistry (Using L-Tryptophan) unless there is a possible inversion somewhere.
The main reason that I ask is that it seems that the hydrogen on the alpha carbon will have the wrong stereochemistry (Using L-Tryptophan) unless there is a possible inversion somewhere.
Tungsten.
- Larvae

- Posts: 44
Looks like I have some bad news. After reviewing the literature on the second step (the one I was curious about earlier) it appears that using L-tryptophan will have the wrong chirality (of the Hydrogen). Instead of +(iso?)LSD you will get -(iso?)LSD. Does that matter as far as pharmacology goes?
aniracetam
- bioanalytical chemist
- Subordinate Wasp



- Posts: 123
not if you're going to do alkaline hydrolysis/isomerization. it matters not.
better yet, instead of reading and pondering.. try it
better yet, instead of reading and pondering.. try it

Tungsten.
- Larvae

- Posts: 44
not if you're going to do alkaline hydrolysis/isomerization. it matters not.
better yet, instead of reading and pondering.. try it
Haha, I was just reading your post in the bio-reactor thread about experimentation. I wish I could right now, but a university is not the place to be doing research...
I was just wondering whether that mattered.
Also, this thread seems very tempting to try out except for the Pd/C, Ac2O, and Propiolic acid (this one seems like the bitch). I would think the NaBH4 could be substituted without a problem. Especially because ordering from a chem company is not an option for some of us.
aniracetam
- bioanalytical chemist
- Subordinate Wasp



- Posts: 123
understood
*edit* ah crap, i misunderstood where the reduction reagent was required, it pertains to the synth method posted several posts up
my bad
I'm trying to develop a method in my head for creating an anion-exchange resin from silica (must be activated first) and adogen-464, to separate the products at a pH of 8. may be more involved than this, but i figure it's worth a shot since there's nothing mentioned in literature about it (there's only a 1983 paper which mentions the preparation of the resin for metal ion separation). the process of activating silica is a simple one: heat the silica to 150 C under reduced pressure, until it stops bubbling. it will then be ready for treatment with functional groups, such as the the aforementioned quaternary ammonium surfactant, upon cooling.
other complexation reagents, such as 18-crown-6, could also be used to effectively separate the epimers.
*edit* ah crap, i misunderstood where the reduction reagent was required, it pertains to the synth method posted several posts up
my badI'm trying to develop a method in my head for creating an anion-exchange resin from silica (must be activated first) and adogen-464, to separate the products at a pH of 8. may be more involved than this, but i figure it's worth a shot since there's nothing mentioned in literature about it (there's only a 1983 paper which mentions the preparation of the resin for metal ion separation). the process of activating silica is a simple one: heat the silica to 150 C under reduced pressure, until it stops bubbling. it will then be ready for treatment with functional groups, such as the the aforementioned quaternary ammonium surfactant, upon cooling.
other complexation reagents, such as 18-crown-6, could also be used to effectively separate the epimers.
letters
- Subordinate Wasp



- Posts: 138
aniracetam, do you have any refs for surfactants used to modify a normal silica phase? I have not heard about it, but it sounds interesting. do you have any specific refs pertaining to the topic of this thread?
if you are set on using ion exchangers as phase modifiers, you may have better luck by first preparing a quaternary ammonium salt of something like (3-aminopropyl)triethoxysilane, and then reacting that with normal dry silica. Im sure you know that silanes are routinely used to chemically modify silica, and you will get a silica gel that its silanols are actually labeled with the quaternary ammonia, instead of just being adsorbed to the silica. Hell, now that I think about it, this is a worthy area for legit research if that hasnt been done already.
if you are set on using ion exchangers as phase modifiers, you may have better luck by first preparing a quaternary ammonium salt of something like (3-aminopropyl)triethoxysilane, and then reacting that with normal dry silica. Im sure you know that silanes are routinely used to chemically modify silica, and you will get a silica gel that its silanols are actually labeled with the quaternary ammonia, instead of just being adsorbed to the silica. Hell, now that I think about it, this is a worthy area for legit research if that hasnt been done already.
aniracetam
- bioanalytical chemist
- Subordinate Wasp



- Posts: 123
.
