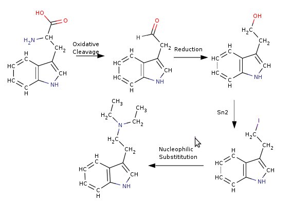
Oxidation: Seems less finicky than decarboxylation.
ref - Reed A. Gray, Arch. Biochem. & Biophys. 81, 481-488 (1959)
Reduction: Raney Nickel? That sounds like a pain. How about an amalgam of some sorts? Or is this bunk?
Halogenation: of the alcohol seems like a task for serious reagents. While I'm pretty sure HI/HBr would attack the 2 position on the indole correct? Chlorination via HCl or Cl2 seems almost out of the question because it's a primary alcohol right? Obviously thionyl chloride, PCl3/PCl5/POCl3 are totally off limits. Anyone have any ideas? Or is this bunk.
Nucleophilic substitution: Any reason why this wouldn't work?
Total chem. noob here, haven't taken an o-chem course don't slam me too hard.
ref - Reed A. Gray, Arch. Biochem. & Biophys. 81, 481-488 (1959)
Reduction: Raney Nickel? That sounds like a pain. How about an amalgam of some sorts? Or is this bunk?
Halogenation: of the alcohol seems like a task for serious reagents. While I'm pretty sure HI/HBr would attack the 2 position on the indole correct? Chlorination via HCl or Cl2 seems almost out of the question because it's a primary alcohol right? Obviously thionyl chloride, PCl3/PCl5/POCl3 are totally off limits. Anyone have any ideas? Or is this bunk.
Nucleophilic substitution: Any reason why this wouldn't work?
Total chem. noob here, haven't taken an o-chem course don't slam me too hard.



.
. Keep fooling myself into thinking SiCl4 is a good idea.