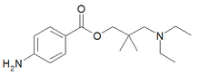
I was just having a look around, and noticed that the substituted amide (with the N-propanol group) of Panthenol (available from soap/perfumery suppliers for FUCK all, would, if the alcohol were protected, on hydrolysis give the plain amide - Hoffman Degradation of which would give the aminoalcohol which is the central section of Dimethocaine. Treatment of the amine with acetaldehyde, then ethyl halide, then reduction of the N-alkyl-imine would give the entire end section of Dimethocaine - all that would be needed then is p-aminobenzoic acid.
Unfortunately, the only substance I have been able to find as a result of both the acid/basic hydrolysis of panthenol is B-alaninol (cleavage of the aminoalcohol sidechain from the acid), which ain't gonna do the trick I don't think...
Might be worthwhile looking at forming an ester with pathenol & p-aminobenzoic acid, if nothing else, it would lay a theory to rest
Although the alkaline hydrolysis product, B-alaninol, might be worth looking at for an ester component too - maybe even N,N-diethylate it
The other option that would be open - given that the basic hydrolysis would give the dihydroxydimethylbutyric acid forming the amide of which, followed by a Hoffman, would give, if the secondary alcohol were removed and the amine diethylated, the aminoalcohol needed for making dimethocaine itself.
PS Another option - being a straight-chain aminoalcohol, which is OTC, is dimethylaminoethanol, which may prove to be an interesting compound all on its own, Dicain/Tetracaine/Amethocaine is a local anaesthetic, the structure of which is p-(n-butylamino)-benzoic acid, dimethylaminoethanol ester...
PPS The main problem is still going to be getting the p-aminobenzoic acid to try this out with, direct nitration of benzoic acid is overwhelmingly meta-selective, the only realistic route would be a Hoffman degradation from the monoamide of terephthalic acid - I'll be looking out for a synthesis of that.
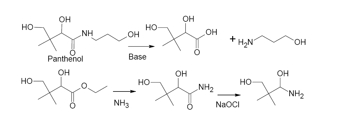
I did up a quick drawing in ChemSketch of the proposed procedure - basic hydrolysis to give the a-hydroxyacid and B-alaninol, ester formation for the hydroxyacid to the ethyl ester, then treatment of that with ammonia to give the amide, Hoffman degradation of which will give the amine... One secondary hydroxyl stands in our way - remove that and the only remaining steps are N,N-diethylation & forming the p-aminobenzoyl ester.
Any ideas? Other than phosphorus acid & I2? To selectively remove the secondary alcohol and not touch the primary one, I mean...
Unfortunately, the only substance I have been able to find as a result of both the acid/basic hydrolysis of panthenol is B-alaninol (cleavage of the aminoalcohol sidechain from the acid), which ain't gonna do the trick I don't think...
Might be worthwhile looking at forming an ester with pathenol & p-aminobenzoic acid, if nothing else, it would lay a theory to rest
Although the alkaline hydrolysis product, B-alaninol, might be worth looking at for an ester component too - maybe even N,N-diethylate itThe other option that would be open - given that the basic hydrolysis would give the dihydroxydimethylbutyric acid forming the amide of which, followed by a Hoffman, would give, if the secondary alcohol were removed and the amine diethylated, the aminoalcohol needed for making dimethocaine itself.
PS Another option - being a straight-chain aminoalcohol, which is OTC, is dimethylaminoethanol, which may prove to be an interesting compound all on its own, Dicain/Tetracaine/Amethocaine is a local anaesthetic, the structure of which is p-(n-butylamino)-benzoic acid, dimethylaminoethanol ester...
PPS The main problem is still going to be getting the p-aminobenzoic acid to try this out with, direct nitration of benzoic acid is overwhelmingly meta-selective, the only realistic route would be a Hoffman degradation from the monoamide of terephthalic acid - I'll be looking out for a synthesis of that.
I did up a quick drawing in ChemSketch of the proposed procedure - basic hydrolysis to give the a-hydroxyacid and B-alaninol, ester formation for the hydroxyacid to the ethyl ester, then treatment of that with ammonia to give the amide, Hoffman degradation of which will give the amine... One secondary hydroxyl stands in our way - remove that and the only remaining steps are N,N-diethylation & forming the p-aminobenzoyl ester.
Any ideas? Other than phosphorus acid & I2? To selectively remove the secondary alcohol and not touch the primary one, I mean...

