Author Topic: Ketamine synthesis via pinacol coupling  (Read 202 times)

Helgoland

  • Larvae
  • *
  • Posts: 28
Ketamine synthesis via pinacol coupling
« on: July 21, 2011, 11:20:56 AM »
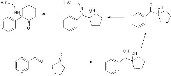
The most difficult step in the synthesis of ketamine seems to be the grignard. Avoiding it might be possible by doing a pinacol
coupling between cyclopropanone and o-chlorobenzaldehyde; the analogue lacking the chlorine atom would be even more simple to make.
The coupling would be followed by a pinacol rearrangement to give the usual intermediate that can then be further processed.
Tgoughts/suggestions/improvements? A synthesis of o-chlorobenzaldehyde would also come in handy...
Helgoland

akcom

  • Dominant Queen
  • ****
  • Posts: 430
Re: Ketamine synthesis via pinacol coupling
« Reply #1 on: July 21, 2011, 12:47:47 PM »
I don't think the pinacol coupling will work.  Wont the carbon chain be one too long?  Anyway, I didn't really look into it, but I can tell you there are no simple or easily accessible preparations of o chloro benzaldehyde from readily available starting materials.  At the very least you'd need chlorobenzene and from there its a bitch.

If you could get it though, I bet a TRIP catalyzed allyl boration with cyclopentene-Bpin would work well.  Reduce the alcohol, thermal rearrangement of the double bond.  But thats more of mental masturbation than anything I suppose
« Last Edit: July 21, 2011, 12:55:13 PM by akcom »

Sedit

  • Global Moderator
  • Foundress Queen
  • *****
  • Posts: 2,099
Re: Ketamine synthesis via pinacol coupling
« Reply #2 on: July 21, 2011, 01:07:29 PM »
Electrophilic Chlorination of Toluene could be done with Cl2 in Acetic acid but you will have to fraction your product as selectivity is low. From that there is a few ways to the aldahyde but all I have tried so far have been finiky. If Toluene is cheep to you its a viable route to o-chlorobenzaldehyde
There once were some bees and you took all there stuff!
You pissed off the wasp now enough is enough!!!

akcom

  • Dominant Queen
  • ****
  • Posts: 430
Re: Ketamine synthesis via pinacol coupling
« Reply #3 on: July 21, 2011, 02:50:31 PM »
From my two minutes of reading I don't think it will work. First of all it'll be low yield due to homocoupling. Second, you won't even get the right product. Rearrangement of the diol leaves you with one too many carbons between the ketone and the ring system. Not to mention you'd probably end up with the cyclopentyl ketone

Btw does anyone else think the procedure on erowid is fishy? Who has ever heard of a magnesium grignard taking three days? I think the author has never really performed the procedure
« Last Edit: July 21, 2011, 03:01:01 PM by akcom »

Sedit

  • Global Moderator
  • Foundress Queen
  • *****
  • Posts: 2,099
Re: Ketamine synthesis via pinacol coupling
« Reply #4 on: July 21, 2011, 04:42:51 PM »
I believe if one managed to get this synthesized where the amine is in place chlorination using a chlorinated solvent and Cl2 should proceed fine giving a higher selectivity of the Ortho product via the chloramine intermediate.
There once were some bees and you took all there stuff!
You pissed off the wasp now enough is enough!!!

Enkidu

  • Global Moderator
  • Foundress Queen
  • *****
  • Posts: 677
Re: Ketamine synthesis via pinacol coupling
« Reply #5 on: July 21, 2011, 07:40:33 PM »
Since the original reaction won't work, this thread has been moved to vacuous The Den of Iniquity. Feel free to repost if you have further suggestions, but make sure that you include some references, such as

http://www.organic-chemistry.org/namedreactions/pinacol-coupling-reaction.shtm


EDIT By Vesp: Since it has good discussion, I am putting it into The Den of Iniquity instead, as useful content is being created and others are learning; might as well continue a good thing despite the first post lacking references, etc.. -- Vesp
« Last Edit: July 21, 2011, 09:30:56 PM by Vesp »

akcom

  • Dominant Queen
  • ****
  • Posts: 430
Re: Ketamine synthesis via pinacol coupling
« Reply #6 on: July 21, 2011, 11:23:21 PM »
Reporting what doesn't work is equally as important as what will.  I hate when I read a paper and all I see are great yields: it means you're not telling me where the weakness are in the methodology.

Not to mention putting threads with legitimate discuss in the 'den of iniquity' certainly doesn't promote conversation.

Enkidu

  • Global Moderator
  • Foundress Queen
  • *****
  • Posts: 677
Re: Ketamine synthesis via pinacol coupling
« Reply #7 on: July 22, 2011, 02:18:04 AM »
Reporting something that should work but doesn't is quite different than reporting what won't work and doesn't. This thread is worthless.

akcom

  • Dominant Queen
  • ****
  • Posts: 430
Re: Ketamine synthesis via pinacol coupling
« Reply #8 on: July 22, 2011, 02:22:46 AM »
Sedit provided information on electrophilic chlorination and I provided information on an allylboration procedure, I guess I don't understand what comprehends worthless

Enkidu

  • Global Moderator
  • Foundress Queen
  • *****
  • Posts: 677
Re: Ketamine synthesis via pinacol coupling
« Reply #9 on: July 22, 2011, 02:47:16 AM »
Ha! You call that information? I'm about to drop information in the ref thread. Can you do any better than mentioning a reaction? The only thing this thread is good for is cluttering the search engine results
« Last Edit: July 22, 2011, 02:51:03 AM by Enkidu »

Vesp

  • Administrator
  • Foundress Queen
  • *****
  • Posts: 3,130
Re: Ketamine synthesis via pinacol coupling
« Reply #10 on: July 22, 2011, 08:06:08 AM »
""Reporting what doesn't work is equally as important as what will.  I hate when I read a paper and all I see are great yields: it means you're not telling me where the weakness are in the methodology."" -- Agreed, and hence I put this in a place where the conversation could have continued.


""Not to mention putting threads with legitimate discuss in the 'den of iniquity' certainly doesn't promote conversation."
--- More so than the "frozen" vacuous post section. It allows the conversation to continue..



I do not think this is cluttering the search engine results either, though that is subjective; I think others who have this thought, or related idea should find the information realising by this conversation that it does not work, and why it does not work.
Bitcoin address: 1FVrHdXJBr6Z9uhtiQKy4g7c7yHtGKjyLy

Enkidu

  • Global Moderator
  • Foundress Queen
  • *****
  • Posts: 677
Re: Ketamine synthesis via pinacol coupling
« Reply #11 on: August 25, 2011, 04:27:16 AM »
since this thread's in the pub, here's something I made when the thread was current and forgot to post. It's worthless because of all the wasted precursors, side reactions, and yucky workup in the heterocoupling. The diol --> alpha-hydroxy ketone can be performed without cleavage with an activated DMSO oxidation, which is the reason I post now.
« Last Edit: August 25, 2011, 04:30:12 AM by Enkidu »

zzhuchila_clocker

  • Subordinate Wasp
  • ***
  • Posts: 167
Re: Ketamine synthesis via pinacol coupling
« Reply #12 on: August 29, 2011, 08:03:45 AM »
I wonder, if there is any possibility to alkylate an oxime anion(resonance structure same as nitrosocompound a-anion) at C-center with carbonyl compound. Google is silent about that. Oximates are known to be alkylated mostly at oxygen, BUT the examples are given for RX as alkylating agents, at the same time it is known that alkylating of any oxygen nucleophile with carbonyl alkylator is impossible. So what i suggest is, 1) to find out if there are any examples in literature of that kind aldol condensation of oximes with carbonyl compounds. 2) if not, then what reason (kinetics or thermodynamics) prevents it. I suppose that is kinetics, because a-hydroxy oximes are known to be stable, and are used as chelators for some metals. Even if that is still thermodinamics, the same metals can be used to make reaction both thermodinamically(due to chelate formation) and kinetically(coordination of nucleophile and electrophile reducing the enthropy loss in transition state, activation of carbonyl group) possible. If metal does not want to coordinate with cyclopentanone, then making imine out of that(with ammonia) in undydrous conditions may help, provided there is a possibility of same kind rearrangement with cyclopentylamine derivative like with cyclopentanol (the last step in K synthesis).

Another potential "fromcrap" route to ketamine could be base-catalysed o-nitrotoluene aldol condensation with cyclopentanone (like in US4497966, non-enolizable carbonyl compounds are preferred, but enolizable can also be used as they wrote "acetaldehyde" there http://www.patsnap.com/patents/view/US4497966.html) , then reduction of the resulting nitroalcohol into aniline, then diazotation in HCl to get o-chloro alcohol, in which acid eilmination of H2O should easily proceed(due to tertiary carbocation stability and conjugation). Then epoxidation, basic hydrolisys of epoxide, oxidation of benzylic OH into carbonyl, methylamination and heating.
« Last Edit: August 29, 2011, 08:06:34 AM by zzhuchila_clocker »
Who stuff the banks? Who staff the party ranks? More for Gore or the son of a drug lord?
None of the above, fuck it, cut the cord!
Lights out.. guerrilla radio
Turn that shit up