News:

Registration doesn't require a real email.
Monero Donation Address: 897ESh4QoJgEytJueBPULziMDfNMToXkGMrvtUCJRo2NQRv2CXACHnmEzeMTkwQhnfcZsAc3ctXp6GsedhMfBv983rn5i84

Main Menu

mdp2pol /mdp1pol

Started by nitrous351, September 08, 2003, 01:39:00 PM

Previous topic - Next topic

0 Members and 1 Guest are viewing this topic.

nitrous351

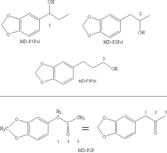
SWIN is confused about the nomenclature of these two alcohols. SWIN is confused about the 2-ol and 1-ol configurations. Could someone bee so kind as to draw these on Chemdraw or a similar program and post them? For SWIN, it's easier to look at a molecule's structure rather than its name. Thanks for any help peace


Vitus_Verdegast


https://www.thevespiary.org/rhodium/Rhodium/hive/hiveboard/picproxie_docs/000457755-file_frs6.jpg" title="View this image">



It's just the numbering of the carbons of the aliphatic side-chain.

Compare with ephedrine, phenyl-1-hydroxy-2-methylamino-propane.