Author Topic: Antibody2's Acidic Al/Hg - MDOH vs MDA  (Read 2339 times)

NeilPatrickHarris

  • Dominant Queen
  • ****
  • Posts: 274
Re: Antibody2's Acidic Al/Hg - MDOH vs MDA
« Reply #60 on: February 08, 2011, 03:10:00 AM »
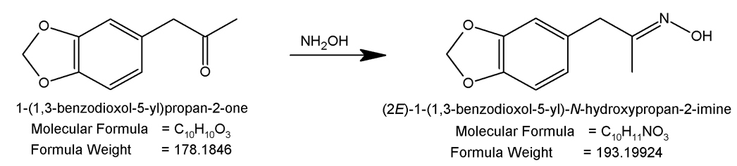
unnecessary pictures, i'll post them anyway though  :D


jon

  • Foundress Queen
  • *****
  • Posts: 1,883
Re: Antibody2's Acidic Al/Hg - MDOH vs MDA
« Reply #61 on: February 08, 2011, 05:18:33 AM »
mda is easy to crystallize if it's pure, i found it easier to work with than mdma.
i think this is because mda does'nt form hydrates like mdma does.
hey i just got  idea!!!  mix mandy powder in pixie sticks candies, the kids they would just love that!!! ;D
'mandy candy! it's so swell, it makes you dandy!'
« Last Edit: February 08, 2011, 06:31:24 AM by jon »

RoidRage

  • Dominant Queen
  • ****
  • Posts: 386
Re: Antibody2's Acidic Al/Hg - MDOH vs MDA
« Reply #62 on: February 14, 2011, 11:13:58 PM »

very nice work!  i'm going to follow your suit and use MeOH next time i do a run.  have you tried washing the oxime with 10% AcOH yet?  i did this with the xxxxxxxx oxime awhile back and complete drying of the oxime[...]

Hello!

Those runs were some time ago, before akcom came up with the AcOH idea so I haven't tried it yet. I'll let you know if I end up running the oxime reaction before you do. Otherwise, please let me know how it goes! As for my Al, HgCl2 and AcOH ratios, thanks for pointing that out. I’ll recalculate everything next time I run the reaction. I’ve based myself on Chromic’s runs If I remember correctly.

I never do an A/B Honestly, excepting I did it to see what the raw freebase of MDA looks liked last time I ran the reaction. I’ve noticed that the color seems to be in relation to pH. If you titrate it perfectly, it’s white, but If you add too much Hcl and pH drops to 1-2, it’s a pale brown or brown color. In the beginning, I was adding much much much too much acid and I once had (before washing it with acetone), some deep purple MDMA. Came out alright after the wash though. I now know how to run a GC/MS and going to learn H NMR next week, so I’ll eventually plan to run some MDA or MDMA to see what kind of impurity is present  depending on how the workup is done. That could be of interest to bees/wasps on this site as far as I know :)

Anyway yes, I only titrate in water and evaporates with a fan. I’ve also noticed that if I vacuum distill the water to dryness, it is SNOW WHITE everytime, don’t know why exactly, I’m probably also distill/evaporate the excess Hcl, which is probably causing the weird color...Just an  hypothesis though. As for refluxing, how can you not reflux?? Only way I see it would be possible would be by running the reaction in an ice bath...Otherwise the reaction content reflux by itself...I’ve never added external heating.

Thanks for the pictures by the way, I agree they aren’t needed but they’re nice and appreciated. I like organic molecules chemical structures. ;D




mda is easy to crystallize if it's pure, i found it easier to work with than mdma.
i think this is because mda does'nt form hydrates like mdma does.
hey i just got  idea!!!  mix mandy powder in pixie sticks candies, the kids they would just love that!!! ;D
'mandy candy! it's so swell, it makes you dandy!'



ROFL Jon...Always the word to make us laugh ;D By the way, while we're at it, what is your favorite recrystallization solvent for MDxx substances?
« Last Edit: July 19, 2011, 12:40:13 AM by Enkidu »

NeilPatrickHarris

  • Dominant Queen
  • ****
  • Posts: 274
Re: Antibody2's Acidic Al/Hg - MDOH vs MDA
« Reply #63 on: February 15, 2011, 02:48:23 PM »
Quote from: RoidRage
I now know how to run a GC/MS and going to learn H NMR next week, so I’ll eventually plan to run some MDA or MDMA to see what kind of impurity is present  depending on how the workup is done. That could be of interest to bees/wasps on this site as far as I know :)

that would be the amazing, i've always wondered.  jon recommended using anhydrous EtOH as a recrystallization solvent for mda.  i ended up with pinkish mda that was in desperate need of washes and recrystallization.  after the washes and EtOH recrystallization they were clusters of little colorless glass needles that crushed into a very crystalline white powder.

Quote from: RoidRage
As for refluxing, how can you not reflux?? Only way I see it would be possible would be by running the reaction in an ice bath...Otherwise the reaction content reflux by itself...I’ve never added external heating.

on no you definitely need to reflux during the reaction, sorry for the bad wording.  i meant the refluxing for a few hours after the reaction.  the external heating is nice for small scale al/hg's because it kicks off the amalgam really fast.  i used external heating out of habit but for this reaction i wouldn't recommend it b/c you there is no addition rate, you just toss everything in when the amalgamation occurs.  unlike small scale nitro al/hg's where timing is much more important.

RoidRage

  • Dominant Queen
  • ****
  • Posts: 386
Re: Antibody2's Acidic Al/Hg - MDOH vs MDA
« Reply #64 on: February 15, 2011, 08:48:04 PM »


that would be the amazing, i've always wondered.  jon recommended using anhydrous EtOH as a recrystallization solvent for mda.  i ended up with pinkish mda that was in desperate need of washes and recrystallization.  after the washes and EtOH recrystallization they were clusters of little colorless glass needles that crushed into a very crystalline white powder.




Sounds good..I'll try in the future. Technical Methanol sure doesn't seems to work for MDA. Not sure why, water content is extremely low as far as I know. And 99.9% sure it's not me who's doing something wrong :D
« Last Edit: February 15, 2011, 08:56:01 PM by RoidRage »

TaurineMonster

  • Larvae
  • *
  • Posts: 4
Re: Antibody2's Acidic Al/Hg - MDOH vs MDA
« Reply #65 on: February 17, 2011, 01:58:32 AM »
For MDA recrystallization in anhydrous  IPA seems to do the trick from what I hear. I have heard good things about triple rxing it in  anhydrous EtOH

overunity33

  • Subordinate Wasp
  • ***
  • Posts: 218
Re: Antibody2's Acidic Al/Hg - MDOH vs MDA
« Reply #66 on: February 17, 2011, 02:15:11 AM »
Why does everyone prefer IPA over meoh?  Other then acquiring them?

pygmalion

  • Larvae
  • *
  • Posts: 9
Re: Antibody2's Acidic Al/Hg - MDOH vs MDA
« Reply #67 on: February 18, 2011, 01:46:23 AM »
Solubility issues. It is much more soluble in MeOH, making effective recrystallization difficult.

overunity33

  • Subordinate Wasp
  • ***
  • Posts: 218
Re: Antibody2's Acidic Al/Hg - MDOH vs MDA
« Reply #68 on: February 18, 2011, 01:52:32 AM »
How many volumes of acetone would you guys say is required to drop the meoh solubility low enough to not lose product after crystalization?

NeilPatrickHarris

  • Dominant Queen
  • ****
  • Posts: 274
Re: Antibody2's Acidic Al/Hg - MDOH vs MDA
« Reply #69 on: February 26, 2011, 11:52:53 PM »
so i prepared a small batch of oxime.  i washed it with 10% AcOH and it didn't seem to help it when it came to the oxime drying faster.  seemed to dry about the same rate, it took 2 days.  maybe it dried a little faster.  next time i'll wash it with 10% AcOH again followed by one single light wash with freezer cold MeOH.  this is in hopes that it will remove unreacted oils to allow it to dry faster.  i'm pretty sure that the oxime takes so long to dry because of the presence of a small amount of isosafrole keeping it a little wet.

then i proceeded to waste 4g of oxime.  i should've paid better attention, anyone add the oxime too soon and kill the amalgamation before it had the chance to pick up steam?  probably not, but i'm here to confirm that it can happen...

ambient temp: 58F
0:00
charged a 500ml RBF with a stirbar, 70g MeOH, 18.5h H2O.  stoppered the flask and turned stirring on to dissolve the hgcl2.  left to go run errands
5:00
attached a reflux condenser fed with cold water, added 6.6g Al.  turned off stirring and did 10 second stirbursts every 1 minute instead.
5:10
the MeOH is a little murky but the al is still shiny
5:20
the al is a little dull but that's all.  amalgamation isn't ready yet
5:24
a couple h2 bubbles were noticed but it's not a steady pace, there were only a few every couple of minutes.  still not ready yet.
5:26
a couple more h2 bubbles are noticed, went ahead and added 4g oxime & 14.6g AcOH
5:28
no change, bubbles have stopped.  the solution went a little darker upon addition of the oxime and AcOH.  the oxime was added too soon and the amalgamation wasn't ready yet.  the addition of oxime and AcOH is now preventing the amalgam from forming properly.... fuck
6:00
added 90mg more hgcl2 and turned stirring on in hopes it will amalgamate
7:00
nope, nada.  what a waste because i was jumpy with the addition, should've waited another 5-10 minutes.  i'm in a habit of using external heat which kicks off the amalgam almost instantaneously and decided to not use external heat for a change.  damn it.  the last amalgamation i did before this one was a MM nitro al/hg and the amalgamation picked up its pace a bit faster, but then the ambient temp was 10 degrees warmer then as well.
« Last Edit: February 26, 2011, 11:55:07 PM by NeilPatrickHarris »

akcom

  • Dominant Queen
  • ****
  • Posts: 430
Re: Antibody2's Acidic Al/Hg - MDOH vs MDA
« Reply #70 on: February 27, 2011, 03:19:41 AM »
I hope you haven't thrown it out yet!  Just amalgamate a new batch of Al, decanting the solution if you so desire, and then after its going strong add your oxime solution in portion wise.  You should be fine

NeilPatrickHarris

  • Dominant Queen
  • ****
  • Posts: 274
Re: Antibody2's Acidic Al/Hg - MDOH vs MDA
« Reply #71 on: February 28, 2011, 02:12:33 AM »
good idea.  i gravity filtered the solution to remove the al foil, then washed the filter cake of unreacted al foil with fresh MeOH.  there was no oxime in the filter so it must be dissolved in the gray MeOH along with the small portion of glacial acetic acid in there.  so i prepared a new al/hg and had the gray MeOH/oxime/AcOH solution in an addition funnel.  waited 35 minutes until the amalgam had a few large pieces of al foil floating, most of the al was dull, and there were constant bubbles.  i started the drip-rate at a slow stream and stopped periodically, the h2 bubbles continued evolving from the amalgam so i continued drip-rate.  unfortunately the amalgam slowly died upon addition of this solution... WTF al/hg's are so picky.

next time i'll go back using external heat to preheat the MeOH + HgCl2 solution.  then when the solution reaches 55-65C i add the al foil and it amalgamates instantly or within 1-2 minutes.  i do nitro al/hg's without external heat with no problem but with this one i can't seem to get the hang of it without external heat.  but adding AcOH too early appears to kill the amalgam.  i'm surprised it killed the reaction because the amalgam was clearing going, any nitro al/hg starting the addition too soon will cause problems because when it eventually reacts it could all react at one time and end up sending the reaction into overdrive.  with this one, the AcOH addition kills the amalgamation.  i fucked up not once but twice, so back to external heat i guess.

antibody2

  • Subordinate Wasp
  • ***
  • Posts: 158
Re: Antibody2's Acidic Al/Hg - MDOH vs MDA
« Reply #72 on: April 07, 2011, 02:42:25 PM »
Hi all
Great to see you all having fun with a synth that AB2 wrote 10 years ago!!! Go team!

I haven't had time to read the entire thread, but wanted to answer a few questions I saw on the 1st page.

1. the oxime is reduced to the hydroxyamine intitally then the excess of AL further reduces the hydroxylamine to MDA

2. the Al was added in portions to avoid the possibilty of a runaway reaction and to make stirring easier. 10 equivalents of Al is  ALOT off Al! There was no way it would all fit in a 4l beaker at the same time and stir.

3. EtOH is preferred over MeOH for two reasons; 1. EtOH has a higher BP (78°C) than MeOH (65°C) so you have more elbow room with temp control and runaways are less likely 2. after saturating the basified post rxm slurry with NaCl the EtOH layer separates cleanly without emulsion. MeOH will not form its own layer, which leaves one with a mess of emulsions to deal with.

4. when forming the oxime and the rxn is quenched with H20 it is important to continue stirring at the highest speed possible while the temperature slowly drops, otherwise the oxime will oil out. Also if the temperature drops too quickly the oxime will oil out rather than crystalize. Sometimes this can take a few hours. If it oils out, reheat in a water bath stir like hell and allow to cool more slowly, leaving it in the water bath but with heat turned off this will help slow the cooling. You should eventually see a cloud of fluffy white crystal swirling in your flask.

AB2
« Last Edit: April 07, 2011, 02:49:43 PM by antibody2 »

akcom

  • Dominant Queen
  • ****
  • Posts: 430
Re: Antibody2's Acidic Al/Hg - MDOH vs MDA
« Reply #73 on: April 07, 2011, 02:56:10 PM »
AB2, what is that sludge that forms whenever I form the oxime?  Any suggestions on how to deal with that mess?

antibody2

  • Subordinate Wasp
  • ***
  • Posts: 158
Re: Antibody2's Acidic Al/Hg - MDOH vs MDA
« Reply #74 on: April 07, 2011, 05:04:11 PM »
Its been years since that RXN has been run around here, but from memory it should run as a very very clean RXN. There shouldn't be any sludge.

A couple possibilities come to mind.
1.How is the ketone purified? It should be distilled. Any time this RXN was run with impure ketone a gross reddish colour appeared mid RXN and nothing crystalized. The end product was a red syrup, this is a sign of impure ketone. This was especially a problem when working with small fractions where it was not feasible to use a column to fractionally distill.

2.How much solvent is being used? It may be the reagents crashing out of solution. If memory serves it was sometimes difficult to get everything into solution, especially using the hydroxylamine sulfate rather the hydroxylamine HCL. If that is the case use more solvent.

3. Also as the post RXN cools the sodium sulfate or chloride may crash out solution, but when you put everything in the Buchner it should dissolve when you wash with H2O
« Last Edit: April 07, 2011, 10:49:33 PM by antibody2 »

jon

  • Foundress Queen
  • *****
  • Posts: 1,883
Re: Antibody2's Acidic Al/Hg - MDOH vs MDA
« Reply #75 on: April 07, 2011, 07:02:28 PM »
antibody i could'nt remember reactions i did that long ago with that kind of detail.
you have excellent recall.
one question, acetic acid is just a co-solvent correct?
« Last Edit: April 07, 2011, 07:04:26 PM by jon »

antibody2

  • Subordinate Wasp
  • ***
  • Posts: 158
Re: Antibody2's Acidic Al/Hg - MDOH vs MDA
« Reply #76 on: April 07, 2011, 11:06:53 PM »
At the time the original write up was done, the HOAc was believed to play a role in the reaction. Much the same role it plays in the similar Al/Hg/HOAc reduction of nitropropenes that came from the boys at Hyperlab.

Chromic suggested that it is not necessary, but I expect that the RXN without proceeds in a different way.

So your question is hard to answer definitively ; :-\

jon

  • Foundress Queen
  • *****
  • Posts: 1,883
Re: Antibody2's Acidic Al/Hg - MDOH vs MDA
« Reply #77 on: April 07, 2011, 11:29:58 PM »
yeah i was wondering about that it would suggest nascent hydrogen and not overvoltage as the mechanism.
in which case all you would need is a dissolving metal reduction.

NeilPatrickHarris

  • Dominant Queen
  • ****
  • Posts: 274
Re: Antibody2's Acidic Al/Hg - MDOH vs MDA
« Reply #78 on: April 08, 2011, 02:57:27 PM »
Hi all
Great to see you all having fun with a synth that AB2 wrote 10 years ago!!! Go team!

i think i owe you a big "thank you" for your contributions!

i remember posts of yours where you applied the oximation and reduction to mmda, dmmda, and dmmda-2 with particularly low yields for the mmda (10%).  i think your original post said it failed with dmmda-2 altogether (i also vaguely remember later posts where you had success).  i was interested in mmda and was curious if you happen to recall what the difficulty with mmda via myristicin was?  i'm also curious how you made the ketone for those, peracid i'm guessing?  last question, with myristicin being difficult to acquire, was it worth the hassle?  certainly it wouldn't make sense from a financial standpoint but is it worth the hassle to experience the novelty of what mmda has to offer?  you posted good info on dmmda but didn't have much to say about mmda, yet judging from pihkal i'd say mmda looks a little more interesting so i'm curious what your opinion is.  thanks

antibody2

  • Subordinate Wasp
  • ***
  • Posts: 158
Re: Antibody2's Acidic Al/Hg - MDOH vs MDA
« Reply #79 on: April 08, 2011, 05:49:40 PM »
Hi Neil
Thanks for the props, you've got a good memory! Yes, performic RXNs were used to form the ketone in all instances

The problem with MMDA was that the myristicin was a very small fraction distilled from oil of parsley. During the initial fractional distillation there were NO solid fractions, the thermometer was on the move the entire time, by the time the blurry fraction that was assumed to myristicin was isomerized, put through a performic RXN, the batch was too small to distill with a 24/40 rig, so it was purified via bisulfite adduct, hydrolysed and then onto oximation. The product was the red syrup reffered to a couple posts above. So to say the yield was 10% is misleading, the precursers were not very pure, so it is hard to say what the yield actually was.

However the apiole fraction from that same run was much larger >> easier to purify >> better yield>> and the DMMDA was absolutely sublime and more than worth all the effort.

with DMMDA2, in hind sight working from dill apiole which is readlily available in almost pure form, AB2 doesn't think the oximation or reduction failed. The failure in hindsight was in forming the salt. After passing dry HCl through the post rxn extraction, the product was a honey coloured oil, which was assumed to be a failure, and discarded without bio assay (MISTAKE!!!) subsequent trials crystalizing using dilute H2SO4 formed salts every time, although with some decomposition. So from that perspective the preceeding rxns were successful, AB2 just didn't realize it at the time and threw the baby out with the bathwater. sigh.

DMMDA2 is difficult to form acid salts with. If that RXN were run again, AB2 would use fumaric acid to form the salt instead.