Author Topic: DMT from Indole-3-Acetic acid  (Read 1336 times)

quetzalcoatl

  • Larvae
  • *
  • Posts: 42
DMT from Indole-3-Acetic acid
« on: December 06, 2009, 05:14:41 AM »
Indole-3-Acetic Acid is available OTC as it is a plant hormone; however
it may be possible to convert it with relative simplicity to DMT.
And since IAA is very cheap, this is a great synth



Ideas/Suggestions Thankyou.


Vesp

  • Administrator
  • Foundress Queen
  • *****
  • Posts: 3,130
Re: DMT from Indole-3-Acetic acid
« Reply #1 on: December 06, 2009, 05:43:43 AM »
quetzalcoatl, what references did you find about doing it?
Bitcoin address: 1FVrHdXJBr6Z9uhtiQKy4g7c7yHtGKjyLy

quetzalcoatl

  • Larvae
  • *
  • Posts: 42
Re: DMT from Indole-3-Acetic acid
« Reply #2 on: December 06, 2009, 06:07:09 AM »
actually I don't feel that my knowledge of indole chemistry is up to suggesting a route for this yet.
but this guy is blazing the same trail, and I hope we'll be able to come up with a pathway.

I mean, I'd suggest a mechanism based on basic alkane chemistry, reactions of carboxylic acids and
that sort of undergraduate stuff; but I don't know - I suspect most of those reagents would react
with the indole group instead.
« Last Edit: December 06, 2009, 06:08:46 AM by quetzalcoatl »

Vesp

  • Administrator
  • Foundress Queen
  • *****
  • Posts: 3,130
Re: DMT from Indole-3-Acetic acid
« Reply #3 on: December 06, 2009, 06:10:22 AM »
http://www.erowid.org/archive/rhodium/chemistry/indoleaceticacid.html

References, reguardless of how easy they are to find are always nice to give so we know you saw them....

if you didn't see that link.. tsk tsk
Bitcoin address: 1FVrHdXJBr6Z9uhtiQKy4g7c7yHtGKjyLy

quetzalcoatl

  • Larvae
  • *
  • Posts: 42
Re: DMT from Indole-3-Acetic acid
« Reply #4 on: December 06, 2009, 06:19:35 AM »
my appologies, I actually posted this idea on another forum only to be linked to this article.
I then promptly forgot, and re-posted it here.
I honestly thought I had thought of something original, stupidly.

Vesp

  • Administrator
  • Foundress Queen
  • *****
  • Posts: 3,130
Re: DMT from Indole-3-Acetic acid
« Reply #5 on: December 06, 2009, 06:32:44 AM »
There is a lot of info about making it, however that doesn't mean there isn't another way with IAA or a better modified way. Anyways, it jut never hurts to google a bit first :P
welcome to TV.
Bitcoin address: 1FVrHdXJBr6Z9uhtiQKy4g7c7yHtGKjyLy

quetzalcoatl

  • Larvae
  • *
  • Posts: 42
Re: DMT from Indole-3-Acetic acid
« Reply #6 on: December 06, 2009, 06:37:33 AM »
I hope there is a better way, not everyone happens to sleep on a pile of LiAlH4.

It could be possible that other reducing agents will work here like (gasp) red phosphorus?

Happyman

  • Subordinate Wasp
  • ***
  • Posts: 122
Re: DMT from Indole-3-Acetic acid
« Reply #7 on: December 06, 2009, 09:34:06 AM »
What would happen if you ran it threw an Akabori with alanine just like benzaldehyde to PPA? Would you get something like this?
« Last Edit: December 06, 2009, 09:38:22 AM by Happyman »

Baba_McKensey

  • Subordinate Wasp
  • ***
  • Posts: 109
Re: DMT from Indole-3-Acetic acid
« Reply #8 on: December 06, 2009, 05:56:32 PM »
Would this work with IAA ester?

US 4062869 Process for preparation of tryptophols
NaBH4 reduction of 3-indolylglyoxylic acid esters or acid halides

http://www.google.com/patents/about?id=OL45AAAAEBAJ&dq=4062869

You can make DMT from tryptophol.  One possibility:

US 3294805 2 lower alkyl-3-(4-phenyl-4-carboalkoxy piperidine) lower alkyl-5, 6 substituted indoles use of methanesulfanyl chloride for replacing OH group of tryptophol with amino group
« Last Edit: December 06, 2009, 06:12:13 PM by Baba_McKensey »

Baba_McKensey

  • Subordinate Wasp
  • ***
  • Posts: 109
Re: DMT from Indole-3-Acetic acid
« Reply #9 on: December 06, 2009, 06:18:24 PM »
US4062869 -> U.K.  Patent Specification No. 1,375,836.  The compounds of formula I may also be converted to the 2-(indol-3-yl) ethyl halides using hydroxyl/halogen exchange reagents, e.g. to the bromide using PBr.sub.3 ; which compounds may then be used to prepare therapeutically active compounds as described in U.K.  Patent Specification No. 1,218,570, corresponding to U.S.  Pat.  No. 3,527,761.  By "a hydroxyl/halogen exchange reagent" is meant a reagent capable of displacing the hydroxyl group of an alcohol by a halogen atom.  Typical examples are PBr.sub.3, PCl.sub.3, sulphonyl chloride, etc.

Baba_McKensey

  • Subordinate Wasp
  • ***
  • Posts: 109
Re: DMT from Indole-3-Acetic acid
« Reply #10 on: December 06, 2009, 06:33:22 PM »

timecube

  • Subordinate Wasp
  • ***
  • Posts: 230
Re: DMT from Indole-3-Acetic acid
« Reply #11 on: December 09, 2009, 07:10:55 PM »
Most of the earlier schemes I had been working through turned out to be rather poorly thought out.

I don't really like starting out with the plain carboxylic acids because whatever you do to them, you're always going to end up with some leftover hydroxyl or aldehyde you then have to get rid of.

If you can source indole, the C-3 position (the one we're after) is relatively easy to add to, and as luck would have it there is an OTC supplement called DMAE (2-dimethylaminoethanol, or dimethylethanolamine) which is cheap, readily available, and pretty much exactly what we would want to add.

I could have sworn I saw a reference at some point showing that indole reacts with primary alcohols and goes through a rearrangement to alkylate C-3.  That wouldn't make much sense to me, but I remember it not making much sense when I first saw it.  I haven't been able to find the reference again, so I may have just misread something.  If that's a real reaction of indole, someone please let me know.

[Edit:  I believe I was looking at the synthesis of indole-3-acetic acid, although I'm not sure if the same reaction is applicable here.
http://en.wikipedia.org/wiki/Indole-3-acetic_acid]

If that isn't a real reaction, I believe DMAE should be halogenated and made into a grignard without too many problems, and then added to indole to give what you want.  I've had a lot of trouble finding indole, though.  It's not listed but occasionally rumored to be watched.  It just doesn't seem to have many commercial uses.  You can probably find it if you look hard enough.


Decarboxylating tryptophan I believe turned out to be a bust due to the cyclization potential.  A possible alternative might be to perform a strecker degradation on tryptophan to get indole-3-acetaldehyde.  Then add methylamine, reduce, add MeI or MeBr.

That should give you the N,N,N-trimethyltryptammonium salt Shulgin talks about, and a couple of his methods for converting it to what you want are doable OTC.

http://www.erowid.org/library/books_online/tihkal/tihkal06.shtml
« Last Edit: December 09, 2009, 07:25:42 PM by timecube »

Baba_McKensey

  • Subordinate Wasp
  • ***
  • Posts: 109
Re: DMT from Indole-3-Acetic acid
« Reply #12 on: December 10, 2009, 01:15:58 AM »

Baba_McKensey

  • Subordinate Wasp
  • ***
  • Posts: 109
Re: DMT from Indole-3-Acetic acid
« Reply #13 on: December 10, 2009, 01:25:04 AM »

Evilblaze

  • Guest
Re: DMT from Indole-3-Acetic acid
« Reply #14 on: December 10, 2009, 09:25:59 PM »
Maybe the easiest way to DMT is the erowid synthesis (IAA -> Indole-3-methylacetate -> N,N-Dimethyltryptamide -> N,N-Dimethyltryptamine). The only problem is with the synthesis (to me) is the LiAlH4. Maybe we can use an other way to hydrogenate the amide to amine.

Maybe Pt or Pd/C.
Or Al/Hg

Maybe the only problem with the Al/Hg reduction is the HCl. At first you will get the HCl salt what is not the main problem, but a little part of the DMT will be hydrolyzed to dimethylamine and indole 3 ethanol. So there will be a killing yield. With the Pt reduction there will be no such problem (I think).

Have any ideas?

And the DMT... You can't take the DMT orally, it should be taken intravenously. Because the monoamine oxidase enzyme will decompose it. Maybe it should be better to use diethyamine instead of dimethylamine. It is not so hard to get it, it can be also made easily (NH4Cl + acetaldehyde).
« Last Edit: December 10, 2009, 09:37:38 PM by Evilblaze »

timecube

  • Subordinate Wasp
  • ***
  • Posts: 230
Re: DMT from Indole-3-Acetic acid
« Reply #15 on: December 11, 2009, 03:51:59 AM »
For some reason, I can't edit my post above again.  It wasn't decarboxylating tryptophan that was causing cyclization concern, it was Eschweiler-Clarke methylation of the resulting tryptamine.

The MeI or MeBr methylation will work though, as probably will DMS (or just buffered methanol/H2SO4.)   I'm not sure if DMS would lead to the same trimethyltryptammonium salt, just dimethylate it to what you want, or even do something else funky to it though.

ausser_betrieb

  • Larvae
  • *
  • Posts: 18
Re: DMT from Indole-3-Acetic acid
« Reply #16 on: December 11, 2009, 05:57:58 PM »
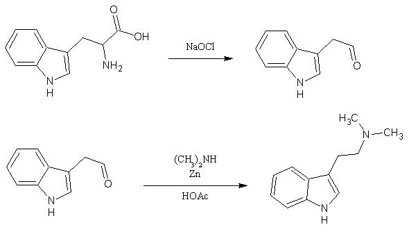
making DMT is what brought me into chemics. Decarboxylating tryptophan seems like a good idea to me. i'll share what i have found out so far. methylating with MeI will make a nasty trimethyl - iod - complex salt. Nasty to break up, and there are two ways described to do it. (one ref is the shulgin dmt synth, the way otto snow describes is attatched as notnagel.jpg). better in my eyes: methylating with betain! ref for this is added. if we can monomethylate amines with a 1:1 amount, why not use a 3 time excess? there is a hyperlab thread claiming this works (but the thread is missing details), so well have to work it out ourselvs (and yes, maybe the yield will be low). other possibilitys are the reduction of tryptophan with NaOCl to 3-Indoleacetaldehyde, then go from there with di-alkyl-amine. ref for the NaOCl reduction is added. Disadvantage: needs large amounts of non-polar-solvent. thats all so far from me.

timecube

  • Subordinate Wasp
  • ***
  • Posts: 230
Re: DMT from Indole-3-Acetic acid
« Reply #17 on: December 12, 2009, 01:01:28 AM »
Ausser, do you have a reference for the very last reaction pictured, where 3-indoleacetaldehyde is coupled with dimethylamine?  I didn't realize they could be directly combined that way, which is what I was trying to work out in a round-about way in this thread and trying to work around above.

ausser_betrieb

  • Larvae
  • *
  • Posts: 18
Re: DMT from Indole-3-Acetic acid
« Reply #18 on: December 12, 2009, 01:57:00 AM »
just use dimethylamine. reduction with Al/Hg. "reductive amination". sounds beautiful, till you read how much xylol one would need for the first step. its not great but possible.

timecube

  • Subordinate Wasp
  • ***
  • Posts: 230
Re: DMT from Indole-3-Acetic acid
« Reply #19 on: December 12, 2009, 02:42:29 AM »
Alright, so you're just forming the enamine then reducing? Which makes sense, but remember you have to have "water-removing conditions" (dean stark, lots of drying agent, etc.) to push the equilibrium towards enamine formation.  Then the reduction needs to be kept fairly dry too.